高级检索

留言板

尊敬的读者、作者、审稿人, 关于本刊的投稿、审稿、编辑和出版的任何问题, 您可以本页添加留言。我们将尽快给您答复。谢谢您的支持!

姓名
邮箱
手机号码
标题
留言内容
验证码

基于TREND程序的石墨通道液态熔盐堆无保护反应性引入事故初步分析

余文 何龙 邹杨 徐博 戴叶 徐洪杰

余文, 何龙, 邹杨, 徐博, 戴叶, 徐洪杰. 基于TREND程序的石墨通道液态熔盐堆无保护反应性引入事故初步分析[J]. 核动力工程, 2022, 43(1): 78-83. doi: 10.13832/j.jnpe.2022.01.0078
引用本文: 余文, 何龙, 邹杨, 徐博, 戴叶, 徐洪杰. 基于TREND程序的石墨通道液态熔盐堆无保护反应性引入事故初步分析[J]. 核动力工程, 2022, 43(1): 78-83. doi: 10.13832/j.jnpe.2022.01.0078
Yu Wen, He Long, Zou Yang, Xu Bo, Dai Ye, Xu Hongjie. Preliminary Analysis of Unprotected Reactivity Introduction Accident of Liquid Molten Salt Reactor with Graphite Channel based on TREND Program[J]. Nuclear Power Engineering, 2022, 43(1): 78-83. doi: 10.13832/j.jnpe.2022.01.0078
Citation: Yu Wen, He Long, Zou Yang, Xu Bo, Dai Ye, Xu Hongjie. Preliminary Analysis of Unprotected Reactivity Introduction Accident of Liquid Molten Salt Reactor with Graphite Channel based on TREND Program[J]. Nuclear Power Engineering, 2022, 43(1): 78-83. doi: 10.13832/j.jnpe.2022.01.0078

基于TREND程序的石墨通道液态熔盐堆无保护反应性引入事故初步分析

doi: 10.13832/j.jnpe.2022.01.0078
基金项目: 中国科学院战略性先导科技专项(XDA02010000);中国科学院前沿科学重点研究项目(QYZDY-SSW-JSC016)
详细信息
    作者简介:

    余 文(1994—),男,在读博士研究生,主要从事熔盐堆热工水力分析研究,E-mail: 1762279420@qq.com

    通讯作者:

    邹 杨,E-mail: zouyang@sinap.ac.cn

  • 中图分类号: TL344

Preliminary Analysis of Unprotected Reactivity Introduction Accident of Liquid Molten Salt Reactor with Graphite Channel based on TREND Program

  • 摘要: 采用自编系统分析程序TREND,基于液态点堆动力学模型,针对10 MW石墨通道液态熔盐堆的设计,研究分析不同反应性在阶跃引入和线性引入情况下10 MW石墨通道液态熔盐堆堆芯功率、石墨温度和堆芯出口熔盐温度的瞬态变化。结果表明,阶跃引入低于570pcm(1pcm=10−5)反应性,堆系统能在无保护的情况下安全运行;当单根控制棒失提引入约800pcm时,反应性引入速率不超过8pcm/s,反应堆能够利用自身的温度、功率负反馈特性有效地控制功率峰值和降低堆芯出口温度,保证反应堆在无保护情况下安全运行。因此,液态熔盐堆具有良好的固有安全性。

     

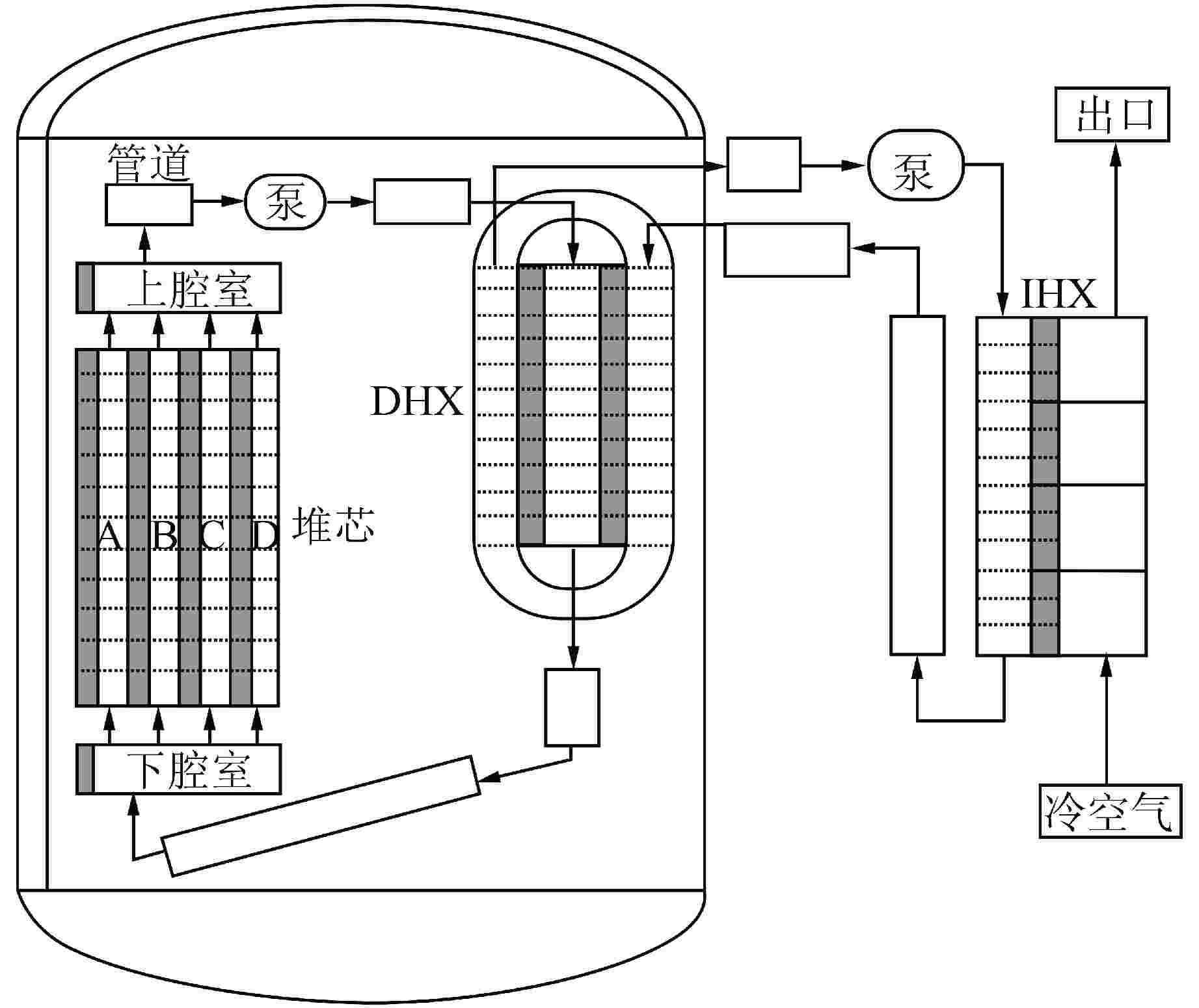
  • 图  1  10 MW石墨通道液态熔盐堆系统示意图

    1—非能动余热排出系统;2—一回路熔盐泵;3—DHX;4—二回路熔盐泵;5—IHX;6—发动机;7、8—汽轮机;9、10—压缩机;11—废气箱

    Figure  1.  System Schematic Diagram of 10 MW Liquid Molten Salt Reactor with Graphite Channel

    图  2  10 MW石墨通道液态熔盐堆设计节点图

    Figure  2.  Design Node Diagram of 10 MW Liquid Molten Salt Reactor with Graphite Channel

    图  3  反应性阶跃引入堆芯功率瞬态变化

    Figure  3.  Transient Change of Reactor Core Power after Reactivity Step Introduction

    图  4  反应性阶跃引入堆芯出口燃料盐温度变化

    Figure  4.  Fuel Salt Temperature Change at the Core Outlet after Reactivity Step Introduction

    图  5  反应性阶跃引入石墨温度变化

    Figure  5.  Temperature Change of the Graphite after Reactivity Step Introduction

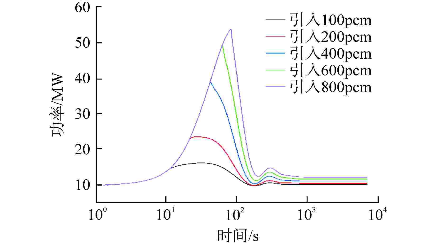
    图  6  不同反应性引入速率引入800pcm时堆芯功率变化

    Figure  6.  Core Power Change with Different Reactivity Introduction Rates When 800pcm is Introduced

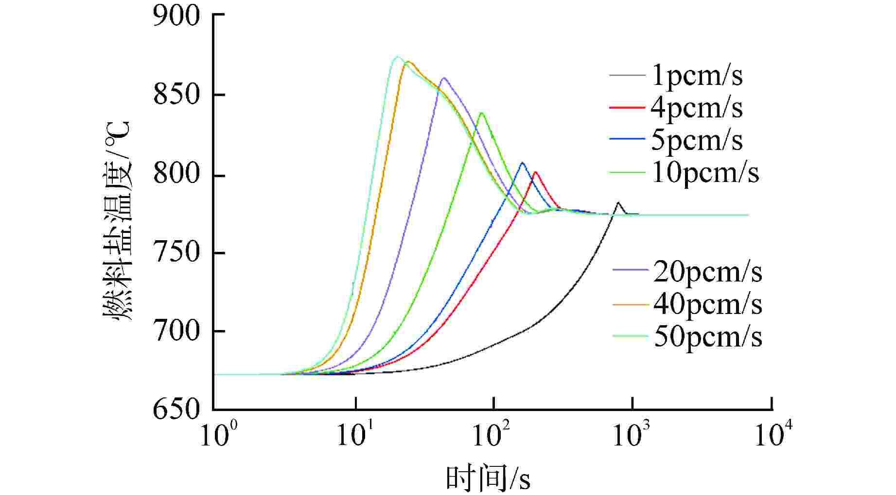
    图  7  不同反应性引入速率引入800pcm时堆芯出口燃料盐温度变化

    Figure  7.  Core Outlet Fuel Salt Temperature Change with Different Reactivity Introduction Rates When 800pcm is Introduced

    图  8  以10pcm/s引入不同反应性时的堆芯功率变化

    Figure  8.  Core Power Change When Introducing Different reactivities at 10pcm/s

    图  9  以10pcm/s引入不同反应性时堆芯出口燃料盐温度变化     

    Figure  9.  Core Outlet Fuel Salt Temperature Change When Introducing Different reactivities at 10pcm/s

    表  1  10 MW石墨通道液态熔盐堆设计参数

    Table  1.   Design Parameters of 10 MW Liquid Molten Salt Reactor with Graphite Channel

    参数名参数值参数名参数值
    堆芯功率/ MW10石墨温度反应性系数/(pcm·℃−1)−4.0
    燃料盐LiF-BeF2−ZrF4−UF4−ThF4燃料盐温度反应性系数/(pcm·℃−1)−5.1
    冷却盐LiF-BeF2二回路流量/(kg·s−1)200
    反射层石墨二回路主换热器进出口温度/℃562/583
    一回路堆芯进出口温度/℃638/673空气流量/(kg·s−1)50.3
    一回路流量/(kg·s−1)145空气进出口温度/℃40/235
      1pcm=10−5
    下载: 导出CSV

    表  2  燃料盐和冷却盐物性参数

    Table  2.   Physical Parameter of Fuel Salt and Coolant Salt

    物性参数冷却盐燃料盐
    密度/(kg·m−3)−0.4884 (T−273.15)+ 24132665-0.3833(T+273.15)
    比热容/[J·(kg·K)−1]23862000
    粘度/(Pa·s)0.000116exp[3755/(T+273.15)]3.8×10−6exp[6982.06/(T+273.15)]
    导热系数/[W·(m·K)−1]0.6297+0.0005(T+273.15)1.4
    下载: 导出CSV

    表  3  10 MW石墨通道液态熔盐堆参数设计值计算值对比

    Table  3.   Comparison of Parameter Design Value/Calculated Value of 10 MW Liquid Molten Salt Reactor with Graphite Channel

    参数名设计值计算值误差/
    %
     堆芯功率/MW 10 9.997 0.03
     堆芯进口温度/℃ 638.5 638.7 0.03
     堆芯出口温度/℃ 673 673.3 0.04
     一回路流量/
    (kg·s−1)
    145 146.0 0.69
     ABCD通道流量比 1∶0.69∶0.76∶1.18 1∶0.69∶0.76∶1.17
     二回路换热器进
    口温度/℃
    562 562.5 0.09
     二回路换热器出
    口温度/℃
    582 582.9 0.15
      “—”表示无此项
    下载: 导出CSV
  • [1] USDOE. A technology roadmap for generation IV nuclear energy systems[J]. Philosophical Review, 2002, 66(2): 239-241.
    [2] 徐洪杰,戴志敏,蔡翔舟,等. 钍基熔盐堆和核能综合利用[J]. 现代物理知识,2018, 30(4): 25-34.
    [3] HARGRAVES R, MOIR R. Liquid fluoride thorium reactors: an old idea in nuclear power gets reexamined[J]. American Scientist, 2010, 98(4): 304-313. doi: 10.1511/2010.85.304.
    [4] MATHIEU L, HEUER D, BRISSOT R, et al. The thorium molten salt reactor: moving on from the MSBR[J]. Progress in Nuclear Energy, 2006, 48(7): 664-679. doi: 10.1016/j.pnucene.2006.07.005
    [5] 江绵恒,徐洪杰,戴志敏. 未来先进核裂变能−TMSR核能系统[J]. 中国科学院院刊,2012, 27(3): 366-374. doi: 10.3969/j.issn.1000-3045.2012.03.016
    [6] ROBERTSON R C. Conceptual design study of a single-fluid molten-salt breeder reactor: ORNL-4541[R]. Oak Ridge: ORNL, 1971.
    [7] 魏泉,梅龙伟,战志超,等. 液态熔盐堆运行安全特性初步研究[J]. 原子能科学技术,2014, 48(12): 2280-2286. doi: 10.7538/yzk.2014.48.12.2280
    [8] NESTOR JR C W. Murgatroyd – an IBM 7090 program for the analysis of the kinetics of the MSRE: ORNL-TM-203[R]. USA: Atomic Energy Commission, 1962
    [9] KŘEPEL J, GRUNDMANN U, ROHDE U, et al. DYN1D-MSR dynamics code for molten salt reactors[J]. Annals of Nuclear Energy, 2005, 32(17): 1799-1824. doi: 10.1016/j.anucene.2005.07.007
    [10] SHI C B, CHENG M S, LIU G M. Development and application of a system analysis code for liquid fueled molten salt reactors based on RELAP5 code[J]. Nuclear Engineering and Design, 2016, 305: 378-388. doi: 10.1016/j.nucengdes.2016.05.034
    [11] 阮见. 熔盐堆系统瞬态分析程序开发[D]. 上海: 中国科学院大学(中国科学院上海应用物理研究所), 2018.
    [12] YU W, RUAN J, HE L, et al. Development of TREND dynamics code for molten salt reactors[J]. Nuclear Engineering and Technology, 2021, 53(2): 455-465. doi: 10.1016/j.net.2020.07.030
    [13] SIEDER E N, TATE G E. Heat transfer and pressure drop of liquids in tubes[J]. Industrial & Engineering Chemistry, 1936, 28(12): 1429-1435.
    [14] GNIELINSKI V. New equations for heat and mass transfer in turbulent pipe and channel flow[J]. International Chemical Engineering, 1976, 16(2): 359-368.
    [15] 茹卡乌斯卡斯. 换热器内的对流传热[M]. 马昌文, 译. 北京: 科学出版社, 1986: 337-370.
    [16] Haynes International, Inc. HASTELLOY® N alloy: H-2052B[R]. USA: Haynes International, Inc, 2002
  • 加载中
图(9) / 表(3)
计量
  • 文章访问数:  459
  • HTML全文浏览量:  255
  • PDF下载量:  34
  • 被引次数: 0
出版历程
  • 收稿日期:  2020-12-04
  • 修回日期:  2021-01-29
  • 刊出日期:  2022-02-01

目录

    /

    返回文章
    返回