高级检索

留言板

尊敬的读者、作者、审稿人, 关于本刊的投稿、审稿、编辑和出版的任何问题, 您可以本页添加留言。我们将尽快给您答复。谢谢您的支持!

姓名
邮箱
手机号码
标题
留言内容
验证码

格架对低流量对流传热影响的数值研究

丁冠群 肖瑶 高新力 刘博 李俊龙 顾汉洋

丁冠群, 肖瑶, 高新力, 刘博, 李俊龙, 顾汉洋. 格架对低流量对流传热影响的数值研究[J]. 核动力工程, 2022, 43(6): 8-14. doi: 10.13832/j.jnpe.2022.06.0008
引用本文: 丁冠群, 肖瑶, 高新力, 刘博, 李俊龙, 顾汉洋. 格架对低流量对流传热影响的数值研究[J]. 核动力工程, 2022, 43(6): 8-14. doi: 10.13832/j.jnpe.2022.06.0008
Ding Guanqun, Xiao Yao, Gao Xinli, Liu Bo, Li Junlong, Gu Hanyang. Numerical Study of Spacer Effects on Convective Heat Transfer at Low Flow Rates[J]. Nuclear Power Engineering, 2022, 43(6): 8-14. doi: 10.13832/j.jnpe.2022.06.0008
Citation: Ding Guanqun, Xiao Yao, Gao Xinli, Liu Bo, Li Junlong, Gu Hanyang. Numerical Study of Spacer Effects on Convective Heat Transfer at Low Flow Rates[J]. Nuclear Power Engineering, 2022, 43(6): 8-14. doi: 10.13832/j.jnpe.2022.06.0008

格架对低流量对流传热影响的数值研究

doi: 10.13832/j.jnpe.2022.06.0008
基金项目: 国家自然科学基金资助项目(12075150,12275174)
详细信息
    作者简介:

    丁冠群(1998—),男,硕士研究生,主要从事反应堆热工水力方面研究,E-mail: dingguanqun@sjtu.edu.cn

    通讯作者:

    高新力,E-mail: gaoxinli@chinansc.cn

  • 中图分类号: TL334

Numerical Study of Spacer Effects on Convective Heat Transfer at Low Flow Rates

  • 摘要: 针对带格架圆管在低流量高热流密度下的热工水力特性开展了数值研究。通过经验关联式与实验数据分别对光滑圆管内单相水低流量对流传热与格架效应进行标定,确立了基于SST k-ω模型的计算流体动力学(CFD)方法。模拟结果表明,格架下游传热特性取决于浮升力参数大小。强迫对流区与混合对流传热下降区,格架下游传热始终增强,努塞尔数呈指数衰减;混合对流传热恢复区与自然对流区,由于流场与传热的耦合作用,格架下游传热存在恶化现象,努塞尔数呈阻尼振荡。格架下游传热影响范围随着浮升力参数的增加先增大后减小。格架阻塞比越大,传热振荡越剧烈,格架致传热恶化的程度提高。该研究可为低流量堆芯内格架设计提供参考。

     

  • 图  1  光滑圆管内数值模拟值与Jackson关系式[2]对比

    Figure  1.  Comparison of Numerical Simulation with Jackson’s Correlation in a Smooth Circular Tube

    图  2  格架下游数值模拟结果与实验数据对比

    Figure  2.  Comparison of Numerical Simulation with Experimental Data Downstream of the Spacer

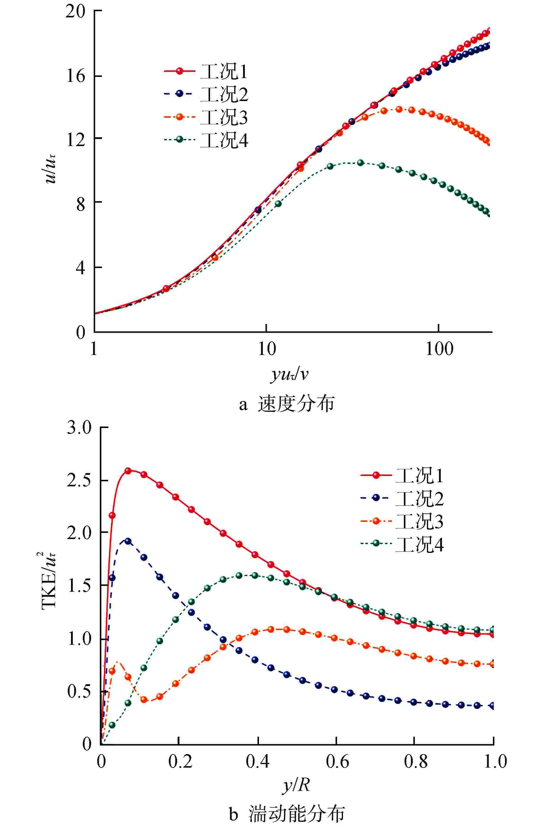
    图  3  不同浮升力参数下光滑圆管内归一化速度与湍动能分布    

    u—径向速度;uτ—摩擦速度;τw—壁面切应力;y—远离壁面距离;R—管内半径

    Figure  3.  Distribution of Normalized Velocity and TKE in a Smooth Circular Tube with Different Buoyancy Lift Parameters

    图  4  计算域几何与结构化网格

    Figure  4.  Geometry and Structured Mesh of the Computational Domain

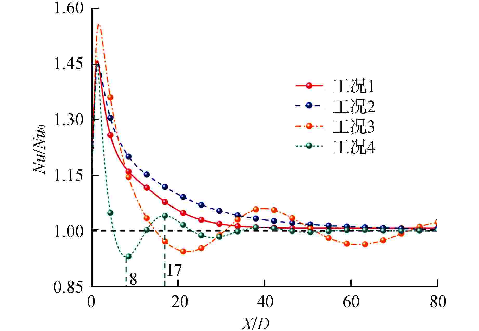
    图  5  不同工况下格架下游传热特性

    Figure  5.  Heat Transfer Characteristics Downstream of the Spacer with Different Working Conditions

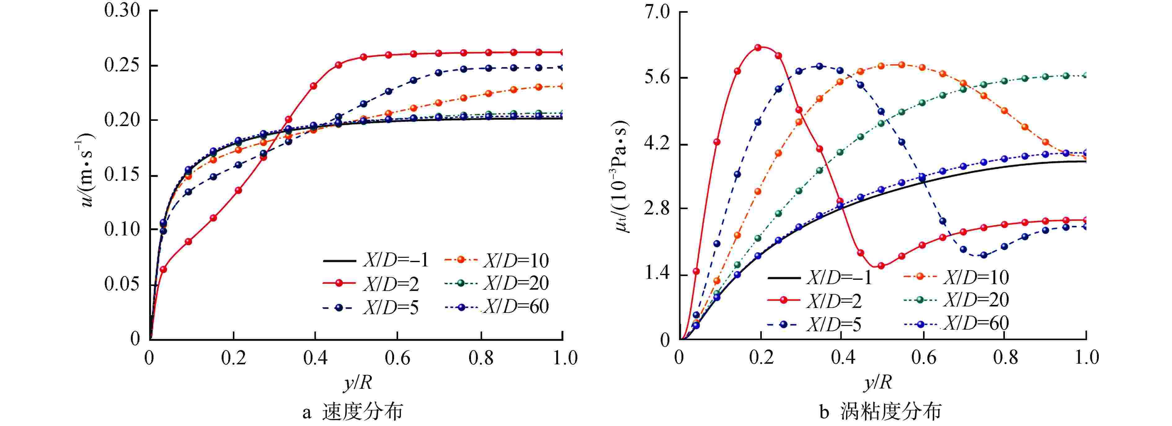
    图  6  工况2沿轴向速度与涡粘度分布

    μt—涡粘度

    Figure  6.  Distribution of Velocity and Eddy Viscosity along the Axial Direction in Case 2

    图  7  工况4沿轴向速度与涡粘度分布

    Figure  7.  Distribution of Velocity and Eddy Viscosity along the Axial Direction in Case 4

    图  8  格架影响下圆管内流场云图

    r—远离圆管中心距离

    Figure  8.  Cloud Chart of Flow Field in a Circular Tube with the Influence of the Spacer

    图  9  不同BR下格架下游传热特性

    Figure  9.  Heat Transfer Characteristics Downstream of the Spacer with Different BRs

    表  1  几何参数与边界条件设置

    Table  1.   Setting of Geometric Parameters and Boundary Conditions

    参数名参数值
    圆形通道内径(D)/mm11.9
    圆形通道长度(L)/m3(约252D
    采样点位置(X)/m1.5(约126D,充分发展段)
    工作介质与物性参数单相水和美国国家标准与技术研究院(NIST) Real Gas模型
    运行压力(P)/MPa15.5
    质量流速(G)/(kg·m−2·s−1)70~200
    热流密度(q)/(kW·m−2)10~50
    入口温度(Tin)/℃150~200
    下载: 导出CSV

    表  2  计算工况参数

    Table  2.   Parameters of Calculation Conditions

    工况区域G/
    (kg·m−2·s−1)
    q/
    (kW·m−2)
    Tin/℃Bo
    1强迫对流区200102005.02×10−7
    2混合对流传热下降区150202002.67×10−6
    3混合对流传热恢复区100252001.33×10−5
    4自然对流区70501509.04×10−5
      表中G、q、Tin为本文推荐值,工况仅依据Bo进行划分
    下载: 导出CSV
  • [1] WIBISONO A F, AHN Y, WILLIAMS W C, et al. Studies of various single phase natural circulation systems for small and medium sized reactor design[J]. Nuclear Engineering and Design, 2013, 262: 390-403. doi: 10.1016/j.nucengdes.2013.04.031
    [2] JACKSON J D, COTTON M A, AXCELL B P. Studies of mixed convection in vertical tubes[J]. International Journal of Heat and Fluid Flow, 1989, 10(1): 2-15. doi: 10.1016/0142-727X(89)90049-0
    [3] CARR A D, CONNOR M A, BUHR H O. Velocity, temperature, and turbulence measurements in air for pipe flow with combined free and forced convection[J]. Journal of Heat Transfer, 1973, 95(4): 445-452. doi: 10.1115/1.3450087
    [4] PARLATAN Y, TODREAS N E, DRISCOLL M J. Buoyancy and property variation effects in turbulent mixed convection of water in vertical tubes[J]. Journal of Heat Transfer, 1996, 118(2): 381-387. doi: 10.1115/1.2825855
    [5] KESHMIRI A, COTTON M A, ADDAD Y, et al. Turbulence models and large eddy simulations applied to ascending mixed convection flows[J]. Flow, Turbulence and Combustion, 2012, 89(3): 407-434. doi: 10.1007/s10494-012-9401-4
    [6] WU T H, XU Z Y, JACKSON J D. Mixed convection heat transfer to water flowing through a vertical passage of annular cross section: part 2[J]. Chemical Engineering Research and Design, 2002, 80(3): 246-251. doi: 10.1205/026387602753582006
    [7] FOROOGHI P, ABDI I A, DAHARI M, et al. Buoyancy induced heat transfer deterioration in vertical concentric and eccentric annuli[J]. International Journal of Heat and Mass Transfer, 2015, 81: 222-233. doi: 10.1016/j.ijheatmasstransfer.2014.10.009
    [8] LIU D, GU H Y. Mixed convection heat transfer in a 5 × 5 rod bundles[J]. International Journal of Heat and Mass Transfer, 2017, 113: 914-921. doi: 10.1016/j.ijheatmasstransfer.2017.05.113
    [9] LI J L, XIAO Y, GU H Y, et al. Development of a correlation for mixed convection heat transfer in rod bundles[J]. Annals of Nuclear Energy, 2021, 155: 108151. doi: 10.1016/j.anucene.2021.108151
    [10] YAO S C, HOCHREITER L E, LEECH W J. Heat-transfer augmentation in rod bundles near grid spacers[J]. Journal of Heat Transfer, 1982, 104(1): 76-81. doi: 10.1115/1.3245071
    [11] KRALL K M, SPARROW E M. Turbulent heat transfer in the separated, reattached, and redevelopment regions of a circular tube[J]. Journal of Heat Transfer, 1966, 88(1): 131-136. doi: 10.1115/1.3691456
    [12] TANASE A, GROENEVELD D C. An experimental investigation on the effects of flow obstacles on single phase heat transfer[J]. Nuclear Engineering and Design, 2015, 288: 195-207. doi: 10.1016/j.nucengdes.2015.04.004
    [13] LIU D, GU H Y. Study on heat transfer behavior in rod bundles with spacer grid[J]. International Journal of Heat and Mass Transfer, 2018, 120: 1065-1075. doi: 10.1016/j.ijheatmasstransfer.2017.12.121
    [14] MENTER F R. Two-equation eddy-viscosity turbulence models for engineering applications[J]. AIAA Journal, 1994, 32(8): 1598-1605. doi: 10.2514/3.12149
    [15] KAYS W M. Turbulent Prandtl number-Where are we?[J]. Journal of Heat Transfer, 1994, 116(2): 284-295. doi: 10.1115/1.2911398
    [16] PIORO I L, GROENEVELD D C, DOERFFER S S, et al. Effects of flow obstacles on the critical heat flux in a vertical tube cooled with upward flow of R-134a[J]. International Journal of Heat and Mass Transfer, 2002, 45(22): 4417-4433. doi: 10.1016/S0017-9310(02)00150-3
    [17] XIAO Y, PAN J S, GU H Y. Numerical investigation of spacer effects on heat transfer of supercritical fluid flow in an annular channel[J]. International Journal of Heat and Mass Transfer, 2018, 121: 343-353. doi: 10.1016/j.ijheatmasstransfer.2018.01.030
    [18] EZE C, WONG K W, GSCHNAIDTNE T, et al. Numerical study of effects of vortex generators on heat transfer deterioration of supercritical water upward flow[J]. International Journal of Heat and Mass Transfer, 2019, 137: 489-505. doi: 10.1016/j.ijheatmasstransfer.2019.03.145
    [19] TIAN R, WEI M S, DAI X Y, et al. Buoyancy effect on the mixed convection flow and heat transfer of supercritical R134a in heated horizontal tubes[J]. International Journal of Heat and Mass Transfer, 2019, 144: 118607. doi: 10.1016/j.ijheatmasstransfer.2019.118607
    [20] MILLER D J, CHEUNG F B, BAJOREK S M. On the development of a grid-enhanced single-phase convective heat transfer correlation[J]. Nuclear Engineering and Design, 2013, 264: 56-60. doi: 10.1016/j.nucengdes.2012.11.023
  • 加载中
图(9) / 表(2)
计量
  • 文章访问数:  355
  • HTML全文浏览量:  114
  • PDF下载量:  59
  • 被引次数: 0
出版历程
  • 收稿日期:  2021-11-19
  • 修回日期:  2022-02-23
  • 刊出日期:  2022-12-14

目录

    /

    返回文章
    返回