高级检索

留言板

尊敬的读者、作者、审稿人, 关于本刊的投稿、审稿、编辑和出版的任何问题, 您可以本页添加留言。我们将尽快给您答复。谢谢您的支持!

姓名
邮箱
手机号码
标题
留言内容
验证码

热管堆用高温热管参数敏感性分析和优化

田智星 王成龙 郭凯伦 张大林 田文喜 秋穗正 苏光辉

田智星, 王成龙, 郭凯伦, 张大林, 田文喜, 秋穗正, 苏光辉. 热管堆用高温热管参数敏感性分析和优化[J]. 核动力工程, 2022, 43(6): 85-92. doi: 10.13832/j.jnpe.2022.06.0085
引用本文: 田智星, 王成龙, 郭凯伦, 张大林, 田文喜, 秋穗正, 苏光辉. 热管堆用高温热管参数敏感性分析和优化[J]. 核动力工程, 2022, 43(6): 85-92. doi: 10.13832/j.jnpe.2022.06.0085
Tian Zhixing, Wang Chenglong, Guo Kailun, Zhang Dalin, Tian Wenxi, Qiu Suizheng, Su Guanghui. Parameters Sensitivity Analysis and Optimization of High-Temperature Heat Pipe for Heat Pipe Reactor[J]. Nuclear Power Engineering, 2022, 43(6): 85-92. doi: 10.13832/j.jnpe.2022.06.0085
Citation: Tian Zhixing, Wang Chenglong, Guo Kailun, Zhang Dalin, Tian Wenxi, Qiu Suizheng, Su Guanghui. Parameters Sensitivity Analysis and Optimization of High-Temperature Heat Pipe for Heat Pipe Reactor[J]. Nuclear Power Engineering, 2022, 43(6): 85-92. doi: 10.13832/j.jnpe.2022.06.0085

热管堆用高温热管参数敏感性分析和优化

doi: 10.13832/j.jnpe.2022.06.0085
基金项目: 科技部重点研发计划(No.2019YFB1901100);中央高校基本科研业务费专项资金(xzy022021030);中国核动力研究设计院核反应堆系统设计技术重点实验室资助(HT-ZFYY-02-2019001)
详细信息
    作者简介:

    田智星(1996—),男,博士研究生,现主要从事核反应堆热工水力及高温热管技术研究,Email:tzx1191394533@stu.xjtu.edu.cn

    通讯作者:

    王成龙,E-mail: chlwang@mail.xjtu.edu.cn

  • 中图分类号: TL33

Parameters Sensitivity Analysis and Optimization of High-Temperature Heat Pipe for Heat Pipe Reactor

  • 摘要: 热管堆用高温热管的设计是存在约束的多目标优化问题,本文旨在实现高温热管的快速多目标设计优化。针对高温热管,考虑干道、槽道、丝网、烧结等吸液芯,基于改进热阻网络法,采用非支配遗传算法Ⅱ对热阻和毛细质量流量进行优化。结果表明,热管性能与工质和吸液芯有关,圆形和矩形干道采用工质钾更佳,三角槽和烧结纤维采用工质钠更佳;钠热管中热阻性能优劣依次为环形干道、丝网、矩形槽、烧结颗粒、烧结纤维、三角槽、圆形干道、矩形干道,流量性能优劣依次为环形干道、丝网、烧结颗粒、矩形槽、矩形干道、圆形干道、三角槽、烧结纤维;在800~950 K范围内,工作温度提升导致除环形干道外热阻减小89.9%以上,流量增加320.8%以上,环形干道中热阻减小93.5%,但流量减小8.8%。本研究可为核反应堆高温热管设计优化提供参考,提升高温热管性能。

     

  • 图  1  热管结构图

    LHP—热管的轴向长度;Dv—蒸气区直径;DwaDwi—管壁和吸液芯的外径

    Figure  1.  Heat Pipe Schematics

    图  2  热管的热阻网络

    Rwi,z—dz长度内吸液芯的轴向热阻;Rwi,e/c—蒸发段/冷凝段的吸液芯径向热阻;Rwa,e/c—蒸发段/冷凝段的吸液芯径向热阻;Rwa,z—dz 长度内管壁的轴向热阻;Rv—蒸气热阻;T—温度

    Figure  2.  Thermal Resistance Network of Heat Pipe

    图  3  吸液芯结构示意图

    W—槽宽;Dis—槽间距;D—直径;ri—环形干道内半径;ro—环形干道外半径;Df—纤维直径;Dg—槽深;Dp—颗粒直径;ψ—三角槽的1/2角度

    Figure  3.  Structure Diagram of Wick

    图  4  NSGA-II的热管优化流程

    Figure  4.  Flowchart of Heat Pipe Optimization by NSGA-II

    图  5  NUSTER-100反应堆系统设计方案

    Figure  5.  NUSTER-100 Reactor System Design Scheme

    图  6  不同吸液芯结构下热阻-负毛细质量流量多目标优化

    Figure  6.  Multi-objective Optimization of Thermal Resistance-Negative Capillary Mass Flow with Different Wick Structures

    图  7  不同吸液芯结构下的热阻和负毛细质量流量

    Figure  7.  Thermal Resistance and Negative Capillary Mass Flow with Different Wick Structures

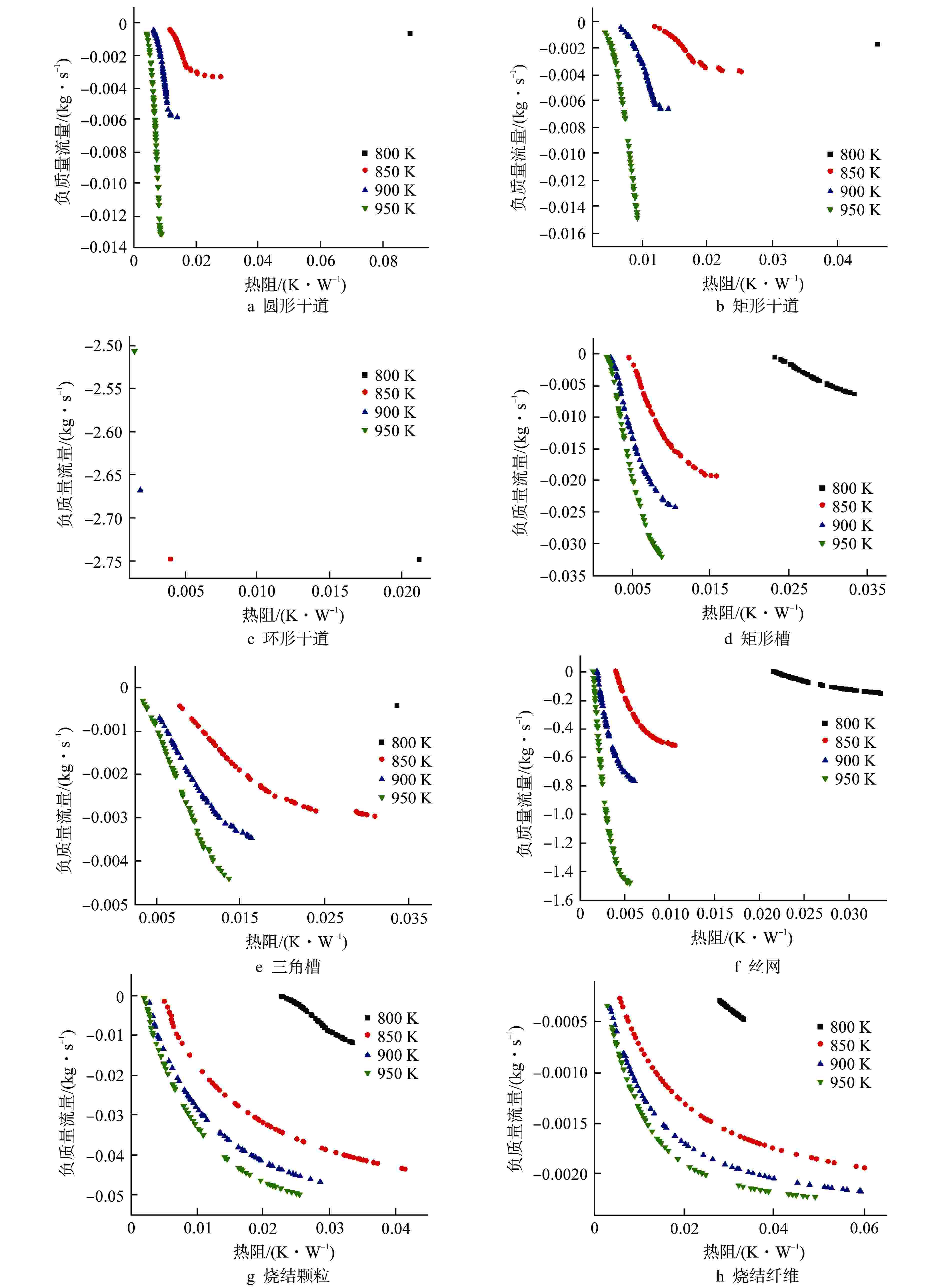
    图  8  工作温度对钠热管热阻和负质量流量的影响

    Figure  8.  Influence of Working Temperature on Thermal Resistance and Negative Mass Flow of Sodium Heat Pipe

    表  1  吸液芯结构特征参数

    Table  1.   Characteristic Parameters for Wick Structures

    吸液芯结构rcapDhεK
    圆形干道D/2D1D2/32
    矩形干道$ \dfrac{{WDg}}{{W + Dg}} $$\dfrac{{2WDg}}{{W + Dg}}$1$\dfrac{ {D_{_{\text{h}} }^{^{\text{2} }} } }{ {2{F_{_{ {\text{RA} }} } } } }$
    环形干道ro−ri2(ro−ri)1$\dfrac{ {D_{_{\text{h} }}^{^{\text{2} }} } }{ {2{F_{_{ {\text{AA} }} } } } }$
    矩形槽W$ \dfrac{{4WDg}}{{W + 2Dg}} $$\dfrac{W}{ { {D_{_{ {\text{is} }} } } } }$$\dfrac{ {\varepsilon D_{_{\text{h} }}^{^{\text{2} }} } }{ {2{F_{_{ {\text{RG} }} } } } }$
    三角槽$\dfrac{W}{{\cos \psi }}$$W\cos \psi $$\dfrac{W}{ {2{D_{_{ {\text{is} }} } } } }$$\dfrac{ {\varepsilon D_{_{\text{h} }}^{^{\text{2} }} } }{ {2{F_{_{ {\text{IG} } }} } } }$
    丝网$\dfrac{{W + D}}{2}$$\dfrac{\varepsilon }{{1 - \varepsilon }}D$$1 - \dfrac{ {1.05{\text{π } }N_{_{\text{mesh} }} D} }{4}$$\dfrac{ { {D^{^2}}{\varepsilon ^{^3}} } }{ {122{ {\left( {1 - \varepsilon } \right)}^{^2}} } }$
    烧结颗粒$0.21{D_{_{\text{p} }} }$$\dfrac{ {2\varepsilon } }{ {3\left( {1 - \varepsilon } \right)} }{D_{_{\text{p} }} }$0.27~0.66$\dfrac{ {D_{\text{p} }^{^{\text{2}} }{\varepsilon ^{^3}} } }{ {150{ {\left( {1 - \varepsilon } \right)}^{^2}} } }$
    烧结纤维$\dfrac{ { {D_{_{\text{f} }} } }}{ {2\left( {1 - \varepsilon } \right)} }$$\dfrac{\varepsilon }{ {1 - \varepsilon } }{D_{_{\text{f} }} }$0.6~0.9FSF
      Nmesh—丝网目数;FSF、FAA、FRAFIG、FRG关系式详见文献[16]
    下载: 导出CSV

    表  2  液态金属高温热管设计参数

    Table  2.   Design Parameters of Liquid-metal Heat Pipe

    参数参数值参数参数值
    工作温度/K900 热管长度/m2.0
    最大承受压力/MPa2蒸发段长度/m0.5
    工作角度0°(水平)冷凝段长度/m1.0
    传热功率/kW1管壳外径/mm30
    下载: 导出CSV

    表  3  选取钠作为工质时不同吸液芯结构性能比较

    Table  3.   Comparison of Performance of Various Wick Structures with Sodium as the Working Fluid

    性能参数性能排序
    热阻  环形干道>丝网>矩形槽>烧结颗粒>烧结纤维>三角槽>圆形干道>矩形干道
    毛细质量流量  环形干道>丝网>烧结颗粒>矩形槽>矩形干道>圆形干道>三角槽>烧结纤维
    热阻可行范围  烧结纤维>烧结颗粒>三角槽>矩形槽>圆形干道>矩形干道>丝网>环形干道
    毛细质量流量可行范围  丝网>烧结颗粒>矩形槽>矩形干道>圆形干道>三角槽>烧结纤维>环形干道
    下载: 导出CSV
  • [1] TIAN Z X, LIU X, WANG C L, et al. Experimental investigation on the heat transfer performance of high-temperature potassium heat pipe for nuclear reactor[J]. Nuclear Engineering and Design, 2021, 378: 111182. doi: 10.1016/j.nucengdes.2021.111182
    [2] TIAN Z X, WANG C L, HUANG J L, et al. Code development and analysis on the operation of liquid metal high temperature heat pipes under full condition[J]. Annals of Nuclear Energy, 2021, 160: 108396. doi: 10.1016/j.anucene.2021.108396
    [3] FAGHRI A, HARLEY C. Transient lumped heat pipe analyses[J]. Heat Recovery Systems and CHP, 1994, 14(4): 351-363. doi: 10.1016/0890-4332(94)90039-6
    [4] ZUO Z J, FAGHRI A. A network thermodynamic analysis of the heat pipe[J]. International Journal of Heat and Mass Transfer, 1998, 41(11): 1473-1484. doi: 10.1016/s0017-9310(97)00220-2
    [5] FAGHRI A, BUCHKO M. Experimental and numerical analysis of low-temperature heat pipes with multiple heat sources[J]. Journal of Heat Transfer, 1991, 113(3): 728-734. doi: 10.1115/1.2910624
    [6] FAGHRI A. Review and advances in heat pipe science and technology[J]. Journal of Heat Transfer, 2012, 134(12): 123001. doi: 10.1115/1.4007407
    [7] CAO Y, FAGHRI A. A numerical analysis of high-temperature heat pipe startup from the frozen state[J]. Journal of Heat Transfer, 1993, 115(1): 247-254. doi: 10.1115/1.2910657
    [8] TOURNIER J M, EL-GENK M S. A vapor flow model for analysis of liquid-metal heat pipe startup from a frozen state[J]. International Journal of Heat and Mass Transfer, 1996, 39(18): 3767-3780. doi: 10.1016/0017-9310(96)00066-X
    [9] TOURNIER J M, EL-GENK M S. A heat pipe transient analysis model[J]. International Journal of Heat and Mass Transfer, 1994, 37(5): 753-762. doi: 10.1016/0017-9310(94)90113-9
    [10] TOURNIER J M, EL-GENK M S, JUHASZ A J. Heat-pipe transient model for space applications[J]. AIP Conference Proceedings, 1991, 217(2): 857-868. doi: 10.1063/1.40099
    [11] RAJESH V G, RAVINDRAN K P. Optimum heat pipe design: a nonlinear programming approach[J]. International Communications in Heat and Mass Transfer, 1997, 24(3): 371-380. doi: 10.1016/S0735-1933(97)00022-5
    [12] SARAFRAZ M M, TLILI I, TIAN Z, et al. Smart optimization of a thermosyphon heat pipe for an evacuated tube solar collector using response surface methodology (RSM)[J]. Physica A:Statistical Mechanics and Its Applications, 2019, 534: 122146. doi: 10.1016/j.physa.2019.122146
    [13] DE SOUSA F L, VLASSOV V, RAMOS F M. Generalized extremal optimization for solving complex optimal design problems[C]//Genetic and Evolutionary Computation Conference. Chicago: Springer, 2003: 375-376.
    [14] RAO R V, MORE K C. Design optimization and analysis of selected thermal devices using self-adaptive Jaya algorithm[J]. Energy Conversion and Management, 2017, 140: 24-35. doi: 10.1016/j.enconman.2017.02.068
    [15] RAO R V, MORE K C. Optimal design of the heat pipe using TLBO (teaching-learning-based optimization) algorithm[J]. Energy, 2015, 80: 535-544. doi: 10.1016/j.energy.2014.12.008
    [16] FAGHRI A. Heat pipe science and technology[M]. Washington: Taylor & Francis, 1995: 328.
    [17] 田智星,刘逍,王成龙,等. 高温钾热管稳态运行传热特性研究[J]. 原子能科学技术,2020, 54(10): 1771-1778.
    [18] 庄骏,张红. 热管技术及其工程应用[J]. 能源研究与利用,2000(5): 41.
    [19] YUAN S W, FINKELSTEIN A B. Laminar Pipe Flow With Injection and Suction Through a Porous Wall[J]. Transactions of the American Society of Mechanical Engineers, 1956, 78(4): 719-724.
    [20] CHI S W. Heat pipe theory and practice: a sourcebook[M]. Washington: Hemisphere Pub. Corp., 1976: 188.
    [21] ZOHURI B. Heat pipe design and technology: a practical approach[M]. Boca Raton: CRC Press, 2011: 96.
    [22] LEVY E K, CHOU S F. The sonic limit in sodium heat pipes[J]. Journal of Heat Transfer, 1973, 95(2): 218-223. doi: 10.1115/1.3450029
    [23] KIM B H, PETERSON G P. Theoretical and physical interpretation of entrainment phenomenon in capillary-driven heat pipes using hydrodynamic instability theories[J]. International Journal of Heat and Mass Transfer, 1994, 37(17): 2647-2660. doi: 10.1016/0017-9310(94)90382-4
    [24] CHEN S W, LIU F C, WANG T Y, et al. Modeling and analyses of boiling and capillary limitations for micro channel wick structures[J]. Journal of Mechanics, 2016, 32(3): 357-368. doi: 10.1017/jmech.2015.100
    [25] TIEN C L, CHUNG K S. Entrainment limits in heat pipes[J]. AIAA Journal, 1979, 17(6): 643-646. doi: 10.2514/3.61190
    [26] RICE J, FAGHRI A. Analysis of porous wick heat pipes, including capillary dry-out limitations[C]//Proceedings of the ASME 2005 International Mechanical Engineering Congress and Exposition. Orlando: ASME, 2005: 595-607. doi: 10.1115/IMECE2005-81456
    [27] NODA H, YOSHIOKA K, HAMATAKE T. A model for the heat transfer limit of a screen wick heat pipe[J]. Heat Transfer-Japanese Research, 1989, 18(3): 3118-3123.
    [28] DOBRAN F. Suppression of the sonic heat transfer limit in high-temperature heat pipes[J]. Journal of Heat Transfer, 1989, 111(3): 605-610. doi: 10.1115/1.3250725
    [29] DO K H, KIM S J, GARIMELLA S V. A mathematical model for analyzing the thermal characteristics of a flat micro heat pipe with a grooved wick[J]. International Journal of Heat and Mass Transfer, 2008, 51(19-20): 4637-4650. doi: 10.1016/j.ijheatmasstransfer.2008.02.039
    [30] CHENG P, MA H B. A mathematical model predicting the minimum meniscus radius in mixed particles[J]. Journal of Heat Transfer, 2007, 129(3): 391-394. doi: 10.1115/1.2430727
    [31] BUSSE C A. Theory of the ultimate heat transfer limit of cylindrical heat pipes[J]. International Journal of Heat and Mass Transfer, 1973, 16(1): 169-186. doi: 10.1016/0017-9310(73)90260-3
    [32] PRENGER JR F C, KEMME J E. Performance limits of gravity-assist heat pipes with simple wick structures[M]//REAY D A. Advances in Heat Pipe Technology. Amsterdam: Elsevier, 1982: 137-146. doi: 10.1016/B978-0-08-027284-9.50019-X
    [33] LEVY E K. Theoretical investigation of heat pipes operating at low vapor pressures[J]. Journal of Engineering for Industry, 1968, 90(4): 547-552. doi: 10.1115/1.3604687
    [34] DEB K, PRATAP A, AGARWAL S, et al. A fast and elitist multiobjective genetic algorithm: NSGA-II[J]. IEEE Transactions on Evolutionary Computation, 2002, 6(2): 182-197. doi: 10.1109/4235.996017
  • 加载中
图(8) / 表(3)
计量
  • 文章访问数:  544
  • HTML全文浏览量:  218
  • PDF下载量:  50
  • 被引次数: 0
出版历程
  • 收稿日期:  2021-10-23
  • 修回日期:  2022-05-05
  • 刊出日期:  2022-12-14

目录

    /

    返回文章
    返回