高级检索

留言板

尊敬的读者、作者、审稿人, 关于本刊的投稿、审稿、编辑和出版的任何问题, 您可以本页添加留言。我们将尽快给您答复。谢谢您的支持!

姓名
邮箱
手机号码
标题
留言内容
验证码

Zr-Sn-Nb合金包壳管真空环向力学性能研究

闫萌 李顺平 王朋飞 洪晓峰 梁波 戴训 尹祁伟

闫萌, 李顺平, 王朋飞, 洪晓峰, 梁波, 戴训, 尹祁伟. Zr-Sn-Nb合金包壳管真空环向力学性能研究[J]. 核动力工程, 2023, 44(3): 127-131. doi: 10.13832/j.jnpe.2023.03.0127
引用本文: 闫萌, 李顺平, 王朋飞, 洪晓峰, 梁波, 戴训, 尹祁伟. Zr-Sn-Nb合金包壳管真空环向力学性能研究[J]. 核动力工程, 2023, 44(3): 127-131. doi: 10.13832/j.jnpe.2023.03.0127
Yan Meng, Li Shunping, Wang Pengfei, Hong Xiaofeng, Liang Bo, Dai Xun, Yin Qiwei. Research on Hoop Mechanical Property of Zr-Sn-Nb Alloy Cladding Tubes in Vacuum[J]. Nuclear Power Engineering, 2023, 44(3): 127-131. doi: 10.13832/j.jnpe.2023.03.0127
Citation: Yan Meng, Li Shunping, Wang Pengfei, Hong Xiaofeng, Liang Bo, Dai Xun, Yin Qiwei. Research on Hoop Mechanical Property of Zr-Sn-Nb Alloy Cladding Tubes in Vacuum[J]. Nuclear Power Engineering, 2023, 44(3): 127-131. doi: 10.13832/j.jnpe.2023.03.0127

Zr-Sn-Nb合金包壳管真空环向力学性能研究

doi: 10.13832/j.jnpe.2023.03.0127
详细信息
    作者简介:

    闫 萌(1987—),女,副研究员,现主要从事核结构材料力学性能的研究,E-mail: l397552724@qq.com

    通讯作者:

    李顺平,E-mail: lsp511@163.com

  • 中图分类号: TL341

Research on Hoop Mechanical Property of Zr-Sn-Nb Alloy Cladding Tubes in Vacuum

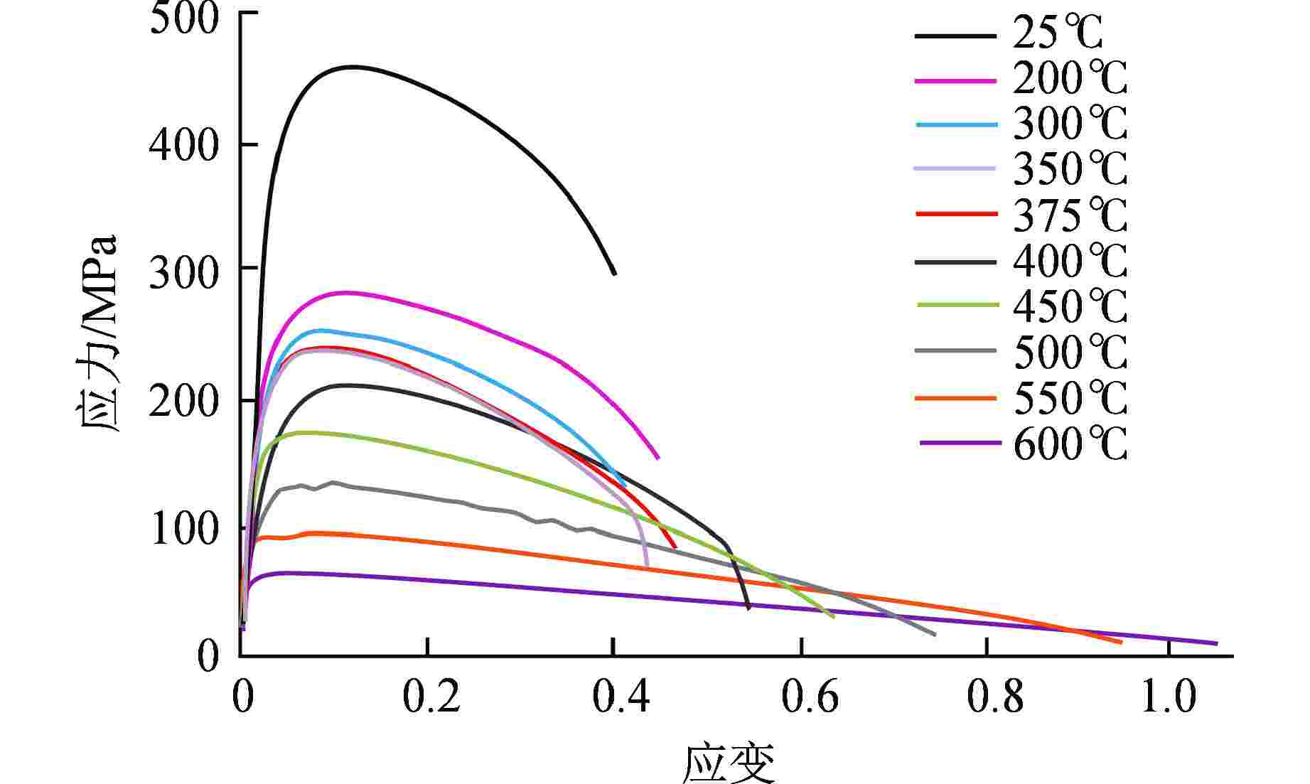
  • 摘要: 目前关于小尺寸管材环向拉伸的方法没有标准可参考,国内外锆合金包壳管环向拉伸研究方法也不统一,对于国产Zr-Sn-Nb合金包壳管,环向力学性能尚处于空白。本文采用带标距的环形试样,获得了Zr-Sn-Nb合金包壳管真空环向拉伸力学性能数据。结果表明:室温至600℃ 时,环向拉伸强度和延伸率均随温度上升而下降,但在300~400℃ 之间受动态应变时效的影响环向拉伸强度出现不随温度变化的平台段,相同温度条件下,真空环向拉伸强度低于轴向拉伸,差距随着温度升高而扩大;550℃和600℃时,受动态再结晶的影响环向拉伸曲线发生波浪式抖动;不同温度断口特征差异明显,说明环向拉伸断裂形式严重依赖试样变形温度。

     

  • 图  1  环形试样示意图

    Figure  1.  Schematic Diagram of Hoop Sample

    图  2  Zr-Sn-Nb合金包壳管环向拉伸应力-应变曲线

    Figure  2.  Stress-strain Curves of Hoop Tensile Testing on Zr-Sn-Nb Alloy Cladding Tubes

    图  3  Zr-Sn-Nb合金包壳管环向拉伸抗拉强度与温度的关系      

    Figure  3.  Relations of Hoop Tensile Strength and Temperature on Zr-Sn-Nb Alloy Cladding Tubes

    图  4  Zr-Sn-Nb合金包壳管环向拉伸延伸率与温度的关系

    Figure  4.  Relations of Hoop Tensile Elongation and Temperature on Zr-Sn-Nb Alloy Cladding Tubes

    图  5  550℃和600℃时Zr-Sn-Nb合金包壳管环向拉伸应力-应变曲线

    Figure  5.  Stress-strain Curves of of Hoop Tensile Testing on Zr-Sn-Nb Alloy Cladding Tubes at 550℃ and 600℃

    图  6  不同温度下的环向拉伸断口形貌

    Figure  6.  Fracture Mophologies of Hoop Tensile Samples under Different Temperature

    表  1  Zr-Sn-Nb合金包壳管轴向与环向抗拉强度比较

    Table  1.   Hoop Tensile Strength Comparison on Axial and Hoop Direction of Zr-Sn-Nb Alloy Cladding Tubes

    温度/℃轴向抗拉强度/MPa环向抗拉强度/MPa
    25507485
    200323290
    300282260
    350260250
    375250
    400245220
    450215183
    500175141
    550133100
    6009965
    下载: 导出CSV
  • [1] KIM S K, BANG J G, KIM D H, et al. Mechanical property evaluation of high burn-up nuclear fuel cladding using the ring tensile test[J]. Metals and Materials International, 2009, 15(4): 547-553. doi: 10.1007/s12540-009-0547-0
    [2] LE SAUX M, BESSON J, CARASSOU S, et al. A model to describe the anisotropic viscoplastic mechanical behavior of fresh and irradiated Zircaloy-4 fuel claddings under RIA loading conditions[J]. Journal of Nuclear Materials, 2008, 378(1): 60-69. doi: 10.1016/j.jnucmat.2008.04.017
    [3] DESQUINES J, KOSS D A, MOTTA A T, et al. The issue of stress state during mechanical tests to assess cladding performance during a reactivity-initiated accident (RIA)[J]. Journal of Nuclear Materials, 2011, 412(2): 250-267. doi: 10.1016/j.jnucmat.2011.03.015
    [4] BATES D W, KOSS D A, MOTTA A T, et al. Influence of specimen design on the deformation and failure of Zircaloy cladding[C]//Proceedings of the 2000 International Topical Meeting on LWR Fuel Performance. Park City: Argonne National Lab., 2000.
    [5] MAHMOOD S T, MURTY K L. Localized plastic flow, anisotropic mechanical properties and crystallographic texture in Zircaloy sheet[J]. Journal of Materials Engineering, 1989, 11(4): 315-329. doi: 10.1007/BF02834141
    [6] PIERRON O N, KOSS D A, MOTTA A T. Tensile specimen geometry and the constitutive behavior of Zircaloy-4[J]. Journal of Nuclear Materials, 2003, 312(2-3): 257-261. doi: 10.1016/S0022-3115(02)01554-4
    [7] NAGASE F, SUGIYAMA T, FUKETA T. Optimized ring tensile test method and hydrogen effect on mechanical properties of Zircaloy cladding in hoop direction[J]. Journal of Nuclear Science and Technology, 2009, 46(6): 545-552. doi: 10.1080/18811248.2007.9711560
    [8] 谭军. 锆合金的热激活变形与动态应变时效研究[D]. 成都: 中国核动力研究设计院, 2009
    [9] 谭军,李聪,孙超,等. Zr-4合金应力松弛过程中的热激活变形与动态应变时效[J]. 金属学报,2009, 45(2): 173-177. doi: 10.3321/j.issn:0412-1961.2009.02.008
    [10] 弗罗斯特B R T. 核材料(第II部分)[M]. 周邦新, 译. 北京: 科学出版社, 1999: 18.
    [11] 刘建章. 核结构材料[M]. 北京: 化学工业出版社, 2007: 79-82.
  • 加载中
图(6) / 表(1)
计量
  • 文章访问数:  412
  • HTML全文浏览量:  179
  • PDF下载量:  27
  • 被引次数: 0
出版历程
  • 收稿日期:  2022-06-20
  • 修回日期:  2023-03-30
  • 刊出日期:  2023-06-15

目录

    /

    返回文章
    返回