高级检索

留言板

尊敬的读者、作者、审稿人, 关于本刊的投稿、审稿、编辑和出版的任何问题, 您可以本页添加留言。我们将尽快给您答复。谢谢您的支持!

姓名
邮箱
手机号码
标题
留言内容
验证码

曲网格下的厚扩散极限中子输运模拟研究

王新宇 张斌 陈义学

王新宇, 张斌, 陈义学. 曲网格下的厚扩散极限中子输运模拟研究[J]. 核动力工程, 2023, 44(4): 41-48. doi: 10.13832/j.jnpe.2023.04.0041
引用本文: 王新宇, 张斌, 陈义学. 曲网格下的厚扩散极限中子输运模拟研究[J]. 核动力工程, 2023, 44(4): 41-48. doi: 10.13832/j.jnpe.2023.04.0041
Wang Xinyu, Zhang Bin, Chen Yixue. Research on Simulation of Neutron Transport with Thick Diffusion Limit in Curved Meshes[J]. Nuclear Power Engineering, 2023, 44(4): 41-48. doi: 10.13832/j.jnpe.2023.04.0041
Citation: Wang Xinyu, Zhang Bin, Chen Yixue. Research on Simulation of Neutron Transport with Thick Diffusion Limit in Curved Meshes[J]. Nuclear Power Engineering, 2023, 44(4): 41-48. doi: 10.13832/j.jnpe.2023.04.0041

曲网格下的厚扩散极限中子输运模拟研究

doi: 10.13832/j.jnpe.2023.04.0041
基金项目: 国家自然科学基金(11975097)
详细信息
    作者简介:

    王新宇(1990—),男,博士研究生,现主要从事粒子输运数值计算方法研究,E-mail: wangxy@ncepu.edu.cn

    通讯作者:

    张 斌,E-mail: zhangbin@ncepu.edu.cn

  • 中图分类号: TL328

Research on Simulation of Neutron Transport with Thick Diffusion Limit in Curved Meshes

  • 摘要: 离散纵标法作为求解厚扩散极限中子输运问题的重要方法之一,其常用的空间离散格式,如有限差分格式极易在光学厚介质中产生数值扩散,并且粗网格精度不足和难以适配复杂几何等问题使得离散纵标法的应用具有一定的局限性。本研究采用伽辽金方法推导弱形式或变分形式的离散纵标方程,基于间断有限元思想构造高阶曲网格下的拉格朗日有限元基函数,建立中子输运方程的高阶间断有限元离散格式。选取了构造解算例、国际原子能机构(IAEA) EIR-2基准题和厚扩散极限算例进行建模与输运计算,对该空间离散格式的计算精度、收敛性进行了测试验证并分析了其厚扩散极限特性。数值结果表明,多介质问题中高阶间断有限元格式的计算结果与基准值相对误差小于1%,且在曲网格下也具有较高的计算精度和符合预期的收敛速度。该离散格式可有效解决曲网格下的厚扩散极限中子输运问题,具有较好的数值特性,且在光学厚扩散极限下具备扩散极限渐近保持性质。

     

  • 图  1  四边形单元的自由度示意图

    p—阶数

    Figure  1.  Degree of Freedom of Quadrilateral Element

    图  2  从参考单元到物理单元的双二次仿射映射

    Figure  2.  Biquadraticr Affine Mapping from Reference Element to Physical Element

    图  3  MMS-1模型构造解和计算结果示意图

    Figure  3.  Manufactured Solution and Results of MMS-1 Model

    图  4  IAEA EIR-2基准题的几何和材料示意图

    Figure  4.  Geometry and Material Properties of IAEA EIR-2 Benchmark Problem

    图  5  IAEA EIR-2基准题的网格剖分和中子注量率分布

    Figure  5.  Mesh Generation and Neutron Flux Distribution of IAEA EIR-2 Benchmark Problem

    图  6  MMS-2模型构造解示意图

    Figure  6.  Manufactured Solution of MMS-2 Model

    图  7  MMS-2算例的网格剖分

    Figure  7.  Mesh Generation of MMS-2 Example

    图  8  MMS-2模型的收敛性

    Figure  8.  Convergence of MMS-2 Model

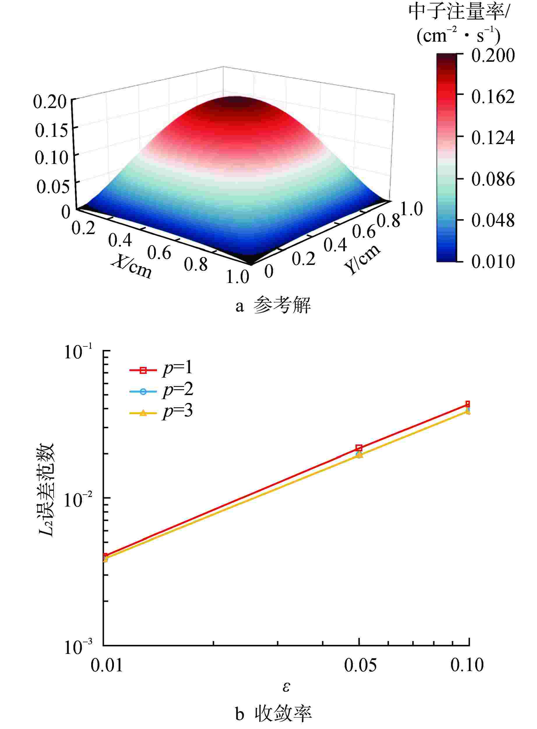
    图  9  厚扩散极限问题的参考解及收敛率

    Figure  9.  Reference Solution and Convergence Rate of Thick Diffusion Limit Problem

    表  1  0.1 cm网格步长下1~4阶有限元的L2误差范数

    Table  1.   L2-norm of Error of 1st-4th Order Finite Element with 0.1 cm Mesh Spacing

    p1234
    L24.9838×10−122.7034×10−113.8589×10−111.7194×10−11
    下载: 导出CSV

    表  2  IAEA EIR-2基准题的截面与源强

    Table  2.   Cross Section and Source Strength of IAEA EIR-2 Benchmark Problem

    材料编号中子源强/(cm−3·s−1)σt/cm−1σs/cm−1
    11.00.600.53
    20.00.480.20
    31.00.700.66
    40.00.650.50
    50.00.900.89
    下载: 导出CSV

    表  3  IAEA EIR-2基准题的计算结果

    Table  3.   Results for IAEA EIR-2 Benchmark Problem

    材料编号区域平均中子注量率/(cm−2·s−1)
    参考解LDFEHDFE
    11.1960×1011.1951×1011.1954×101
    25.3968×10−15.4222×10−15.4153×10−1
    31.9202×1011.9185×1011.9191×101
    48.3364×10−18.3671×10−18.3551×10−1
    51.5263×1001.5375×1001.5274×100
    下载: 导出CSV
  • [1] GRAZIANI F. Computational methods in transport[M]. New York: Springer, 2004: 527-530.
    [2] ATZENI S, MEYER-TER-VEHN J. 惯性聚变物理[M]. 沈百飞, 译. 北京: 科学出版社, 2008: 162-196.
    [3] LEWIS E E, MILLER W F JR. Computational methods of neutron transport[M]. La Grange Park: American Nuclear Society, 1993: 116-153.
    [4] LATHROP K D. Spatial differencing of the transport equation: positivity vs. accuracy[J]. Journal of Computational Physics, 1969, 4(4): 475-498. doi: 10.1016/0021-9991(69)90015-1
    [5] PETROVIC B, HAGHIGHAT A. New directional theta-weighted SN differencing scheme and its application to pressure vessel fluence calculations[C]//Proceedings of Radiation Protection and Shielding Topical Meeting. Falmouth, 1996: 3-10.
    [6] LARSEN E W, ALCOUFFE R E. Linear characteristic method for spatially discretizing the discrete ordinates equations in (X, Y)-geometry: LA-UR-81-101[R]. Los Alamos: Los Alamos Scientific Laboratory, 1981.
    [7] AZMY Y Y. Arbitrarily high order characteristic methods for solving the neutron transport equation[J]. Annals of National Energy, 1992, 19(10-12): 593-606. doi: 10.1016/0306-4549(92)90004-U
    [8] REED W H, HILL T R. Triangular mesh methods for the neutron transport equation: LA-UR-73-479[R]. Los Alamos: Los Alamos Scientific Laboratory, 1973.
    [9] MOREL J E, DENDY J E JR, WAREING T A. Diffusion-accelerated solution of the two-dimensional Sn equations with bilinear-discontinuous differencing[J]. Nuclear Science and Engineering, 1993, 115(4): 304-319. doi: 10.13182/NSE93-A24061
    [10] MOREL J E, WAREING T A, SMITH K. A linear-discontinuous spatial differencing scheme for Sn radiative transfer calculations[J]. Journal of Computational Physics, 1996, 128(2): 445-462. doi: 10.1006/jcph.1996.0223
    [11] WANG Y Q, RAGUSA J C. A high-order discontinuous Galerkin method for the SN transport equations on 2D unstructured triangular meshes[J]. Annals of Nuclear Energy, 2009, 36(7): 931-939. doi: 10.1016/j.anucene.2009.03.002
    [12] WANG Y Q, RAGUSA J C. On the convergence of DGFEM applied to the discrete ordinates transport equation for structured and unstructured triangular meshes[J]. Nuclear Science and Engineering, 2009, 163(1): 56-72. doi: 10.13182/NSE08-72
    [13] WANG Y Q, RAGUSA J C. Standard and goal-oriented adaptive mesh refinement applied to radiation transport on 2D unstructured triangular meshes[J]. Journal of Computational Physics, 2011, 230(3): 763-788. doi: 10.1016/j.jcp.2010.10.018
    [14] HACKEMACK M W, RAGUSA J C. Quadratic serendipity discontinuous finite element discretization for SN transport on arbitrary polygonal grids[J]. Journal of Computational Physics, 2018, 374: 188-212. doi: 10.1016/j.jcp.2018.05.032
    [15] 洪振英,袁光伟,魏军侠. 球几何中子输运保正线性间断有限元格式[J]. 强激光与粒子束,2017, 29(7): 076001. doi: 10.11884/HPLPB201729.160320
    [16] LARSEN E W, MOREL J E, MILLER W F. Asymptotic solutions of numerical transport problems in optically thick, diffusive regimes[J]. Journal of Computational Physics, 1987, 69(2): 283-324. doi: 10.1016/0021-9991(87)90170-7
    [17] CHEN Y X, ZHANG B, ZHANG L, et al. ARES: a parallel discrete ordinates transport code for radiation shielding applications and reactor physics analysis[J]. Science and Technology of Nuclear Installations, 2017, 2017: 2596727.
    [18] ANDERSON R, ANDREJ J, BARKER A, et al. MFEM: a modular finite element methods library[J]. Computers & Mathematics with Applications, 2021, 81: 42-74.
    [19] SCHUNERT S, AZMY Y. Comparison of spatial discretization methods for solving the SN equations using a three-dimensional method of manufactured solutions benchmark suite with escalating order of nonsmoothness[J]. Nuclear Science and Engineering, 2015, 180(1): 1-29. doi: 10.13182/NSE14-77
    [20] KAVENOKY, STEPANEK J, SCHMIDT F. Transport theory and advanced reactor calculations: IAEA-TECDOC-254[R]. Vienna: International Atomic Energy Agency, 1981.
  • 加载中
图(9) / 表(3)
计量
  • 文章访问数:  336
  • HTML全文浏览量:  112
  • PDF下载量:  29
  • 被引次数: 0
出版历程
  • 收稿日期:  2022-10-08
  • 修回日期:  2022-11-26
  • 刊出日期:  2023-08-15

目录

    /

    返回文章
    返回