高级检索

留言板

尊敬的读者、作者、审稿人, 关于本刊的投稿、审稿、编辑和出版的任何问题, 您可以本页添加留言。我们将尽快给您答复。谢谢您的支持!

姓名
邮箱
手机号码
标题
留言内容
验证码

搅混翼定位格架排布方式对5×5棒束通道热工水力特性影响的CFD研究

苏前华 范冠华 吕路路 卢冬华 杨萍 干富军 鄢炳火 王成跃

苏前华, 范冠华, 吕路路, 卢冬华, 杨萍, 干富军, 鄢炳火, 王成跃. 搅混翼定位格架排布方式对5×5棒束通道热工水力特性影响的CFD研究[J]. 核动力工程, 2023, 44(4): 88-94. doi: 10.13832/j.jnpe.2023.04.0088
引用本文: 苏前华, 范冠华, 吕路路, 卢冬华, 杨萍, 干富军, 鄢炳火, 王成跃. 搅混翼定位格架排布方式对5×5棒束通道热工水力特性影响的CFD研究[J]. 核动力工程, 2023, 44(4): 88-94. doi: 10.13832/j.jnpe.2023.04.0088
Su Qianhua, Fan Guanhua, Lyu Lulu, Lu Donghua, Yang Ping, Gan Fujun, Yan Binghuo, Wang Chengyue. Effect of the Arrangement for Grid Spacers with Mixing Vanes on the Thermal Hydraulic Characteristics of a 5×5 Rod Bundle via CFD Analysis[J]. Nuclear Power Engineering, 2023, 44(4): 88-94. doi: 10.13832/j.jnpe.2023.04.0088
Citation: Su Qianhua, Fan Guanhua, Lyu Lulu, Lu Donghua, Yang Ping, Gan Fujun, Yan Binghuo, Wang Chengyue. Effect of the Arrangement for Grid Spacers with Mixing Vanes on the Thermal Hydraulic Characteristics of a 5×5 Rod Bundle via CFD Analysis[J]. Nuclear Power Engineering, 2023, 44(4): 88-94. doi: 10.13832/j.jnpe.2023.04.0088

搅混翼定位格架排布方式对5×5棒束通道热工水力特性影响的CFD研究

doi: 10.13832/j.jnpe.2023.04.0088
基金项目: 国家科技重大专项子课题(2017ZX06002004)
详细信息
    作者简介:

    苏前华(1978—),男,博士研究生,现主要从事反应堆热工水力实验及仿真研究,E-mail: suqianhua@cgnpc.com.cn

  • 中图分类号: TK219;TL334

Effect of the Arrangement for Grid Spacers with Mixing Vanes on the Thermal Hydraulic Characteristics of a 5×5 Rod Bundle via CFD Analysis

  • 摘要: 为探究棒束通道定位格架的最优排布方式,本文采用计算流体动力学(CFD)方法对包含3个格架部件的5×5棒束通道进行流场和温度场的数值仿真,研究格架轴向间距以及格架相对转角对通道阻力和传热特性的影响,并从对流传热的角度分析造成不同结果的原因。研究表明,在本文设计的计算工况下,改变格架轴向间距对棒束阻力和传热特性的影响较小;将中间格架在横截面内相对两端格架旋转90°放置能够有效降低横截面温度分布的不均匀性,减小横截面最高温度。

     

  • 图  1  通道尺寸以及定位格架的排布方式

    Figure  1.  Rod Bundle Channel Size and Grid Spacer Arrangement      

    图  2  定位格架俯视图与冷热棒分布

    Figure  2.  Top View of Grid Spacers and Arrangement of Cold and Hot Rods

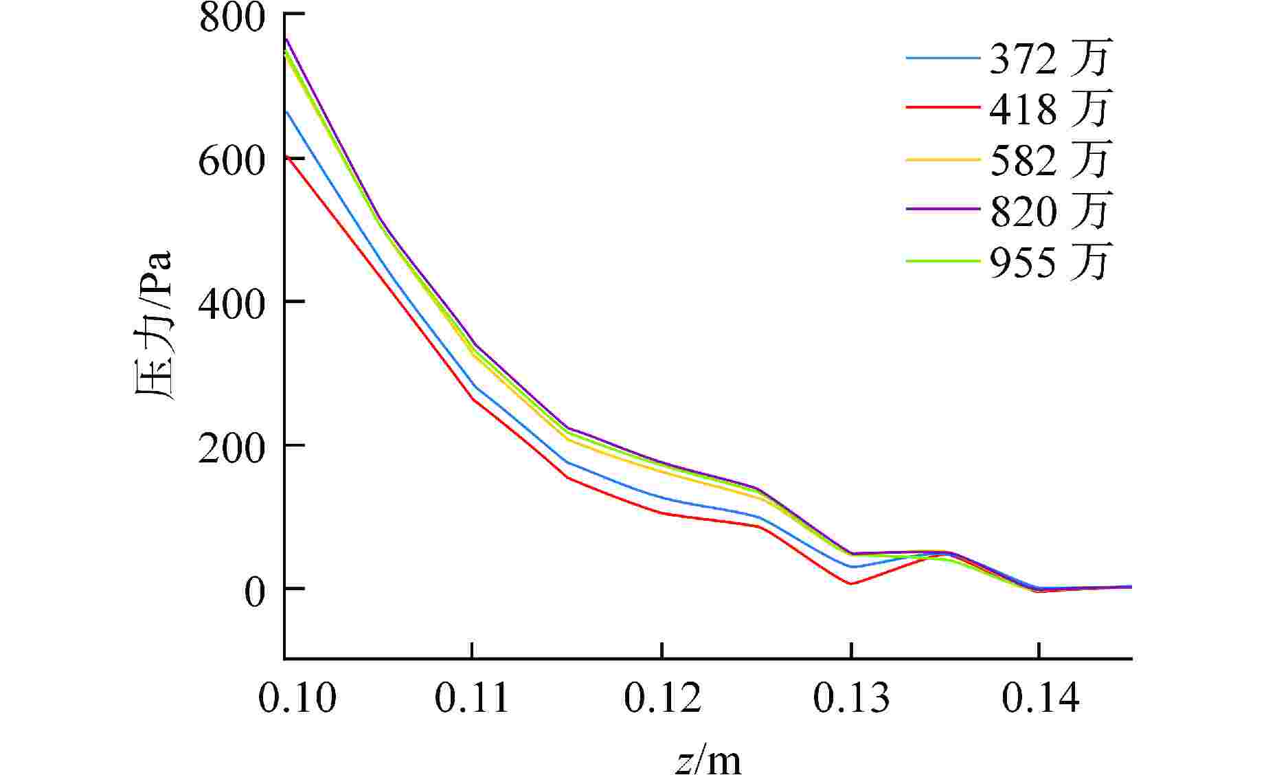
    图  3  采用不同密度网格计算得到的平均压力随着z的变化(Ⅰ型格架段)

    Figure  3.  Variation of Average Pressure Calculated with Different Grid Meshes with z (TypeⅠ Grid Spacer Section)

    图  4  格架间距和相对转角示意图

    Figure  4.  Schematic Diagram of Separation Distance and the Relative Rotation Angle for Grid Spacers

    图  5  格架轴向间距对流动和传热特性的影响

    图中竖线表示格架中心位置

    Figure  5.  Effect of the Axial Separation for Grid Spacers on Flow and Heat Transfer Characteristics

    图  6  跨间格架相对转角对流动和传热特性的影响

    图中竖线表示格架中心位置

    Figure  6.  Effect of Relative Rotation Angle for Middle Grid Spacer on Flow and Heat Transfer Characteristics

    图  7  工况3和工况6中间格架下游65 mm截面横流速度矢量和温度分布

    Figure  7.  Cross-flow Velocity Vector and Temperature Distribution at 65 mm Cross-section Downstream of Middle Grid Spacer for Cases 3 and 6

    图  8  通道横截面分区示意图

    Figure  8.  Schematic Diagram of Cross-section Quarters for Rod Bundle

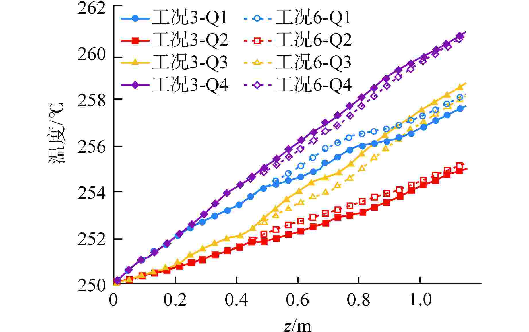
    图  9  工况3和工况6四个分区平均温度随着轴向位置的变化趋势

    Figure  9.  Variation of Average Temperatures of 4 Quarters with Axial Position for Cases 3 and 6

    表  1  计算工况参数表

    Table  1.   Parameters for CFD Cases

    工况D/mmR
    1179.5
    2229.5
    3279.5
    4329.5
    5379.5
    6279.590°
    下载: 导出CSV
  • [1] IN W K, OH D S, CHUN T H. Flow analysis for optimum design of mixing vane in a PWR fuel assembly[J]. Nuclear Engineering and Technology, 2001, 33(3): 327-338.
    [2] KIM K Y, SEO J W. Numerical optimization for the design of a spacer grid with mixing vanes in a pressurized water reactor fuel assembly[J]. Nuclear Technology, 2005, 149(1): 62-70. doi: 10.13182/NT05-A3579
    [3] HOLLOWAY M V, CONOVER T A, MCCLUSKY H L, et al. The effect of support grid design on azimuthal variation in heat transfer coefficient for rod bundles[J]. Journal of Heat Transfer, 2005, 127(6): 598-605. doi: 10.1115/1.1863274
    [4] IKEDA K. CFD application to advanced design for high efficiency spacer grid[J]. Nuclear Engineering and Design, 2014, 279: 73-82. doi: 10.1016/j.nucengdes.2014.02.013
    [5] 陈畏葓,张虹,张凤林,等. 先进燃料组件格架交混性能分析[J]. 核动力工程,2008, 29(3): 1-4,27.
    [6] 王海松,冷洁,刘绍强,等. 不同搅混翼定位格架5×5棒束通道内流动与传热特性数值研究[J]. 热科学与技术,2017, 16(3): 187-192.
    [7] 王烨,孙兰昕,徐长哲,等. 反应堆棒束通道搅混翼数值研究[J]. 核动力工程,2019, 40(6): 54-58. doi: 10.13832/j.jnpe.2019.06.0054
    [8] WANG Y J, WANG M J, JU H R, et al. CFD simulation of flow and heat transfer characteristics in a 5×5 fuel rod bundles with spacer grids of advanced PWR[J]. Nuclear Engineering and Technology, 2020, 52(7): 1386-1395. doi: 10.1016/j.net.2019.12.012
    [9] ZHANG J, WANG M J, CHEN C, et al. CFD investigation of the cold wall effect on CHF in a 5×5 rod bundle for PWRs[J]. Nuclear Engineering and Design, 2022, 387: 111589. doi: 10.1016/j.nucengdes.2021.111589
    [10] JU H R, YU H, WANG M J, et al. LES and URANS study on turbulent flow through 3×3 rod bundle with spacer grid and mixing vanes using spectral element method[J]. Annals of Nuclear Energy, 2021, 161: 108474. doi: 10.1016/j.anucene.2021.108474
    [11] WANG M J, WANG Y J, TIAN W X, et al. Recent progress of CFD applications in PWR thermal hydraulics study and future directions[J]. Annals of Nuclear Energy, 2021, 150: 107836. doi: 10.1016/j.anucene.2020.107836
    [12] 张小英,孙庆友,乔磊,等. 全结构的5×5定位格架及棒束通道的三维流场分析[J]. 华南理工大学学报:自然科学版,2014, 42(12): 104-111.
    [13] LIU C C, FERNG Y M, SHIH C K. CFD evaluation of turbulence models for flow simulation of the fuel rod bundle with a spacer assembly[J]. Applied Thermal Engineering, 2012, 40: 389-396. doi: 10.1016/j.applthermaleng.2012.02.027
  • 加载中
图(9) / 表(1)
计量
  • 文章访问数:  458
  • HTML全文浏览量:  187
  • PDF下载量:  66
  • 被引次数: 0
出版历程
  • 收稿日期:  2022-08-11
  • 修回日期:  2022-10-10
  • 刊出日期:  2023-08-15

目录

    /

    返回文章
    返回