高级检索

留言板

尊敬的读者、作者、审稿人, 关于本刊的投稿、审稿、编辑和出版的任何问题, 您可以本页添加留言。我们将尽快给您答复。谢谢您的支持!

姓名
邮箱
手机号码
标题
留言内容
验证码

NUSTER-100电功率串级控制方法研究

蒲松茂 黄嘉俊 孙培伟 魏新宇

蒲松茂, 黄嘉俊, 孙培伟, 魏新宇. NUSTER-100电功率串级控制方法研究[J]. 核动力工程, 2023, 44(4): 154-162. doi: 10.13832/j.jnpe.2023.04.0154
引用本文: 蒲松茂, 黄嘉俊, 孙培伟, 魏新宇. NUSTER-100电功率串级控制方法研究[J]. 核动力工程, 2023, 44(4): 154-162. doi: 10.13832/j.jnpe.2023.04.0154
Pu Songmao, Huang Jiajun, Sun Peiwei, Wei Xinyu. Research on Cascade Control Method of Electric Power of NUSTER-100[J]. Nuclear Power Engineering, 2023, 44(4): 154-162. doi: 10.13832/j.jnpe.2023.04.0154
Citation: Pu Songmao, Huang Jiajun, Sun Peiwei, Wei Xinyu. Research on Cascade Control Method of Electric Power of NUSTER-100[J]. Nuclear Power Engineering, 2023, 44(4): 154-162. doi: 10.13832/j.jnpe.2023.04.0154

NUSTER-100电功率串级控制方法研究

doi: 10.13832/j.jnpe.2023.04.0154
基金项目: 国家重点研发计划(2019YFB1901100)
详细信息
    作者简介:

    蒲松茂(1997—),男,硕士研究生,研究方向为稳压器和热管冷却反应堆仿真与控制,E-mail: psongm@stu.xjtu.edu.cn

    通讯作者:

    孙培伟,E-mail: sunpeiwei@mail.xjtu.edu.cn

  • 中图分类号: TL334

Research on Cascade Control Method of Electric Power of NUSTER-100

  • 摘要: 热管冷却反应堆(简称热管堆)采用固态堆设计理念,通过热管非能动方式导出堆芯热量,具有结构简单紧凑、安全性高、噪音低、工作时间长的优势。本文以100 kW静默式热管堆(NUSTER-100)为研究对象,基于MATLAB/Simulink平台搭建了非线性动态模型,根据微扰理论获得了传递函数模型。基于动态特性分析,提出电功率串级控制方法,其中内环为核功率调节,外环为电功率控制。以反应性与核功率、核功率与电功率之间的传递函数为基础,设计了电功率串级控制系统,并采用增益调度解决其非线性问题。采用典型工况进行控制性能仿真验证,仿真结果表明,所设计的串级控制系统满足控制性能要求,可以实现反应堆的安全可靠运行。

     

  • 图  1  热管等效节点图

    Figure  1.  Equivalent Node Diagram of Heat Pipes

    图  2  三段式热电转化装置模块示意图[8]

    Figure  2.  Schematic Diagram of Three-stage Thermoelectric Conversion Unit Module

    图  3  热电转化装置的热阻网络

    Figure  3.  Thermal Resistance Network of Thermoelectric Converter     

    图  4  机理法建立传递函数模型流程图

    Figure  4.  Flow Chart of Transfer Function Model Established by Mechanism Method

    图  5  反应性扰动下核功率响应

    Figure  5.  Nuclear Power Responses to Reactivity Disturbance

    图  6  反应性扰动下电功率响应

    Figure  6.  Electric Power Responses to Reactivity Disturbance

    图  7  热管堆串级控制系统框图

    Figure  7.  Diagram of Heat Pipe Cooled Reactor Cascade Control System

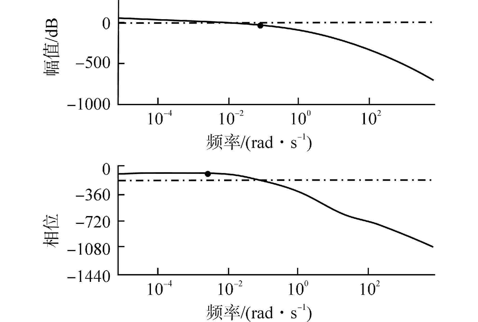
    图  8  内环控制系统Bode图

    Figure  8.  Bode Diagram of Inner Loop Control System

    图  9  外环控制系统Bode图

    Figure  9.  Bode Diagram of Outer Loop Control System

    图  10  控制器权重选择图

    Figure  10.  Controller Weight Selection Diagram

    图  11  电功率阶跃变化的核功率响应

    Figure  11.  Nuclear Power Response to Electric Power Step Change     

    图  12  电功率阶跃变化的电功率响应

    Figure  12.  Electric Power Response to Electric Power Step Change       

    图  13  不同功率水平下小范围负荷跟踪的核功率变化

    Figure  13.  Nuclear Power Variation of Small Range Load Tracking at Different Power Levels

    图  14  不同功率水平下小范围负荷跟踪的电功率变化

    Figure  14.  Electric Power Variation of Small Range Load Tracking at Different Power Levels

    图  15  大范围负荷跟踪的核功率变化

    Figure  15.  Nuclear Power Variation of Large-scale Load Tracking      

    图  16  大范围负荷跟踪的电功率变化

    Figure  16.  Electric Power Variation of Large-scale Load Tracking     

    表  1  NUSTER-100设计参数[8-9]

    Table  1.   NUSTER-100 Design Parameters

    关键参数数值
    堆芯功率/kW1000
    燃料温度/K1493
    热管蒸发段温度/K1085
    热管冷凝段温度/K985
    电功率/kW123
    下载: 导出CSV

    表  2  控制器参数

    Table  2.   Controller Parameters

    功率水平内环控制器外环控制器
    比例增益比例增益积分增益
    100%FP10−41.55.0×10−3
    50%FP2.09.0×10−3
    25%FP2.51.2×10−2
    下载: 导出CSV
  • [1] GROVER G M, COTTER T P, ERICKSON G F. Erratum: structures of very high thermal conductance[J]. Journal of Applied Physics, 1964, 35(10): 3072. doi: 10.1063/1.1713185
    [2] 余红星,马誉高,张卓华,等. 热管冷却反应堆的兴起和发展[J]. 核动力工程,2019, 40(4): 1-8. doi: 10.13832/j.jnpe.2019.04.0001
    [3] ZOHURI B. Heat pipe applications in fission driven nuclear power plants[M]. Cham: Springer, 2019: 117.
    [4] 钟睿诚,马誉高,邓坚,等. 热管堆多反馈效应下的启堆特性研究[J]. 核动力工程,2021, 42(S2): 104-108. doi: 10.13832/j.jnpe.2021.S2.0104
    [5] 马誉高,杨小燕,刘余,等. MW级热管冷却反应堆反馈特性及启堆过程研究[J]. 原子能科学技术,2021, 55(S2): 213-220.
    [6] YAN B H, WANG C, LI L G. The technology of micro heat pipe cooled reactor: a review[J]. Annals of Nuclear Energy, 2020, 135: 106948. doi: 10.1016/j.anucene.2019.106948
    [7] 孙浩沩,孙培伟. 基于热管冷却反应堆仿真系统的功率调节系统初步设计[J]. 仪器仪表用户,2022, 29(3): 83-87,105. doi: 10.3969/j.issn.1671-1041.2022.03.019
    [8] TANG S M, LIU X, WANG C L, et al. Thermal-electrical coupling characteristic analysis of the heat pipe cooled reactor with static thermoelectric conversion[J]. Annals of Nuclear Energy, 2021, 168: 108870.
    [9] DU X N, TAO Y S, ZHENG Y Q, et al. Reactor core design of UPR-s: a nuclear reactor for silence thermoelectric system NUSTER[J]. Nuclear Engineering and Design, 2021, 383: 111404. doi: 10.1016/j.nucengdes.2021.111404
    [10] 张建民, 孙培伟, 姜晶. 核反应堆控制[M]. 第二版. 北京: 中国原子能出版社, 2016: 62-63.
    [11] 杨世铭, 陶文铨. 传热学[M]. 第四版. 北京: 高等教育出版社, 2006: 52-54.
    [12] WANG C L, TANG S M, LIU X, et al. Experimental study on heat pipe thermoelectric generator for industrial high temperature waste heat recovery[J]. Applied Thermal Engineering, 2020, 175: 115299. doi: 10.1016/j.applthermaleng.2020.115299
    [13] 胡寿松. 自动控制原理[M]. 第四版. 北京: 科学出版社, 2001: 460.
  • 加载中
图(16) / 表(2)
计量
  • 文章访问数:  264
  • HTML全文浏览量:  165
  • PDF下载量:  36
  • 被引次数: 0
出版历程
  • 收稿日期:  2022-08-23
  • 修回日期:  2023-01-13
  • 刊出日期:  2023-08-15

目录

    /

    返回文章
    返回