高级检索

留言板

尊敬的读者、作者、审稿人, 关于本刊的投稿、审稿、编辑和出版的任何问题, 您可以本页添加留言。我们将尽快给您答复。谢谢您的支持!

姓名
邮箱
手机号码
标题
留言内容
验证码

氦气压气机反动度与流动损失关联性分析

孙泽秦 张靖煊

孙泽秦, 张靖煊. 氦气压气机反动度与流动损失关联性分析[J]. 核动力工程, 2023, 44(5): 54-63. doi: 10.13832/j.jnpe.2023.05.0054
引用本文: 孙泽秦, 张靖煊. 氦气压气机反动度与流动损失关联性分析[J]. 核动力工程, 2023, 44(5): 54-63. doi: 10.13832/j.jnpe.2023.05.0054
Sun Zeqin, Zhang Jingxuan. Analysis of Correlation Between Reaction and Flow Loss of Helium Compressor[J]. Nuclear Power Engineering, 2023, 44(5): 54-63. doi: 10.13832/j.jnpe.2023.05.0054
Citation: Sun Zeqin, Zhang Jingxuan. Analysis of Correlation Between Reaction and Flow Loss of Helium Compressor[J]. Nuclear Power Engineering, 2023, 44(5): 54-63. doi: 10.13832/j.jnpe.2023.05.0054

氦气压气机反动度与流动损失关联性分析

doi: 10.13832/j.jnpe.2023.05.0054
基金项目: 中国科学院洁净能源先导科技专项(XDA 21000000)
详细信息
    作者简介:

    孙泽秦(1997—),男,硕士研究生,现从事氦气压气机气动设计研究,E-mail: szq2015@163.com

    通讯作者:

    张靖煊,E-mail: zhangjx@sari.ac.cn

  • 中图分类号: TK14

Analysis of Correlation Between Reaction and Flow Loss of Helium Compressor

  • 摘要: 多级轴流氦气压气机是氦气轮机的关键部件之一,通常采用高反动度设计提升单级焓增以减少级数,但经验表明高反动度往往导致效率降低,因此在采用高反动设计时有必要澄清反动度对流动损失的影响。本文以不同反动度的氦气压气机为研究对象,利用计算流体动力学(CFD)方法详细分析了基于氦气流动的压气机叶片通道内部的叶型损失、角区损失和叶顶泄漏损失与反动度的关联性。结果表明,在100%反动度动叶和50%反动度静叶中,由于通道内相对速度较高,导致叶型损失更大,且随着反动度增高,动叶中的负荷提高导致叶顶泄漏处的损失加大,同时,静叶弯曲角的增大和展向压差使得静叶角区分离流更为严重。在100%反动度下,叶顶泄漏损失占动叶栅损失的53%,角区损失占静叶栅损失的60%。此外,本研究基于空气压气机叶型损失模型,通过物性分析优化了适用于氦气压气机的叶型损失模型。

     

  • 图  1  不同反动度下叶高中径的速度三角形

    W1—动叶入口气流角;W2—动叶出口气流角;V1—静叶入口气流角;V2—静叶出口气流角

    Figure  1.  Velocity Triangles at Middle Span with Different Degree of Reaction

    图  2  几何模型和网格

    Figure  2.  Computational Geometric Model and Grids

    图  3  试验结果与3种湍流模型仿真结果总压比对比

    Figure  3.  Comparison of Overall Pressure Ratio Between Test and Three Turbulence Models Simulation Results

    图  4  总压比和效率特性曲线

    Figure  4.  Overall Pressure Ratio and Efficiency Characteristic Curves

    图  5  不同反动度下单级总压比和效率变化趋势

    Figure  5.  Variation Trend of Overall Pressure Ratio and Efficiency of Each Stage with Different Reactions

    图  6  氦气压气机各级动叶相对叶高沿入口气流角分布

    Figure  6.  Inlet Angle Distribution of Each Helium Compressor Rotor Relative to Vane Height

    图  7  50%叶片高度处的压力系数分布

    x/C—相对弦长位置

    Figure  7.  Pressure Coefficient Distribution at 50% Vane Height      

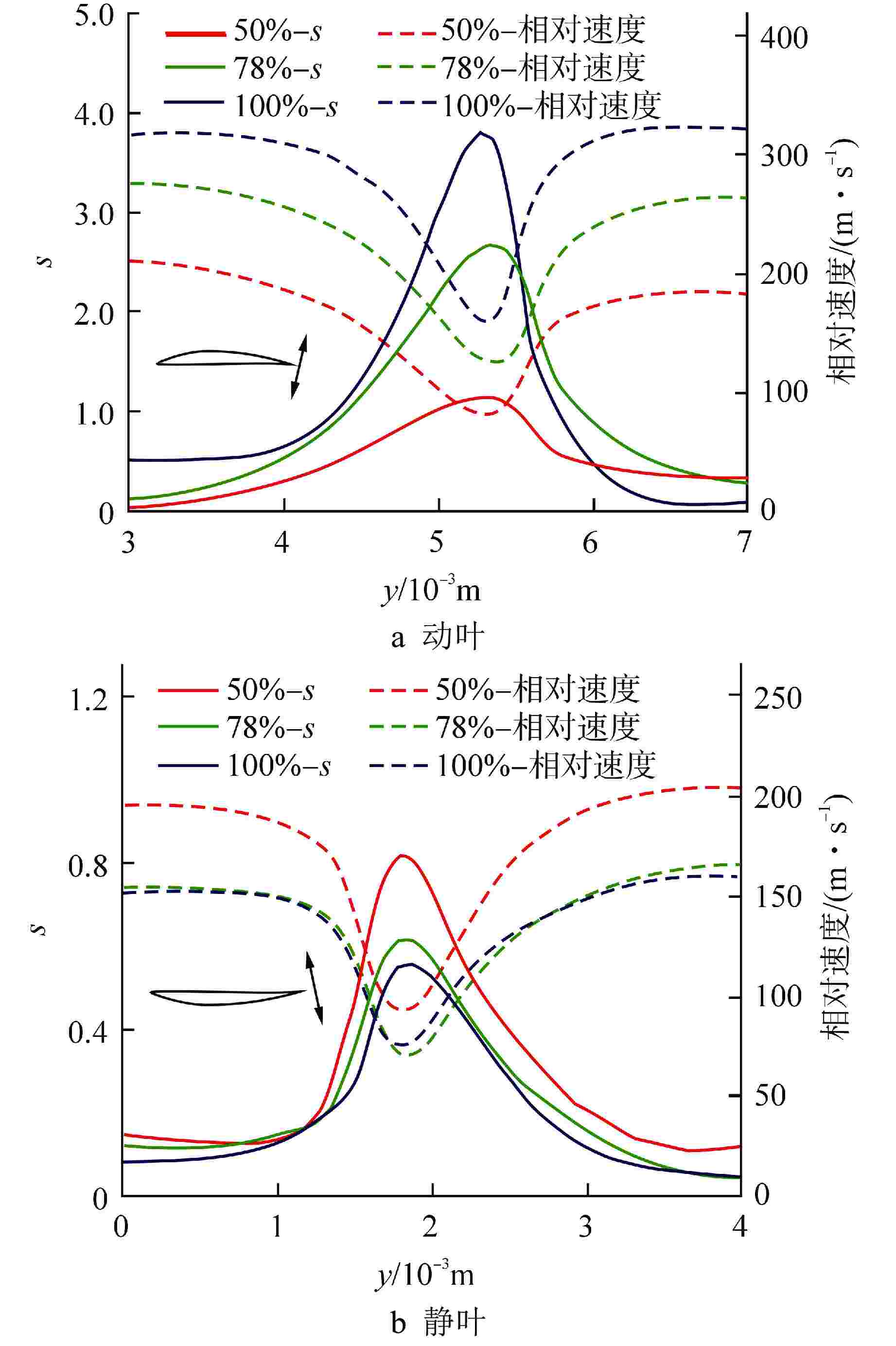
    图  8  第1级动叶不同相对弦长位置的熵增系数和相对速度分布

    y—边界层位置

    Figure  8.  Distribution of Entropy Increase Coefficient and Relative Velocity at Different Chord Lengths of the First-stage Rotor

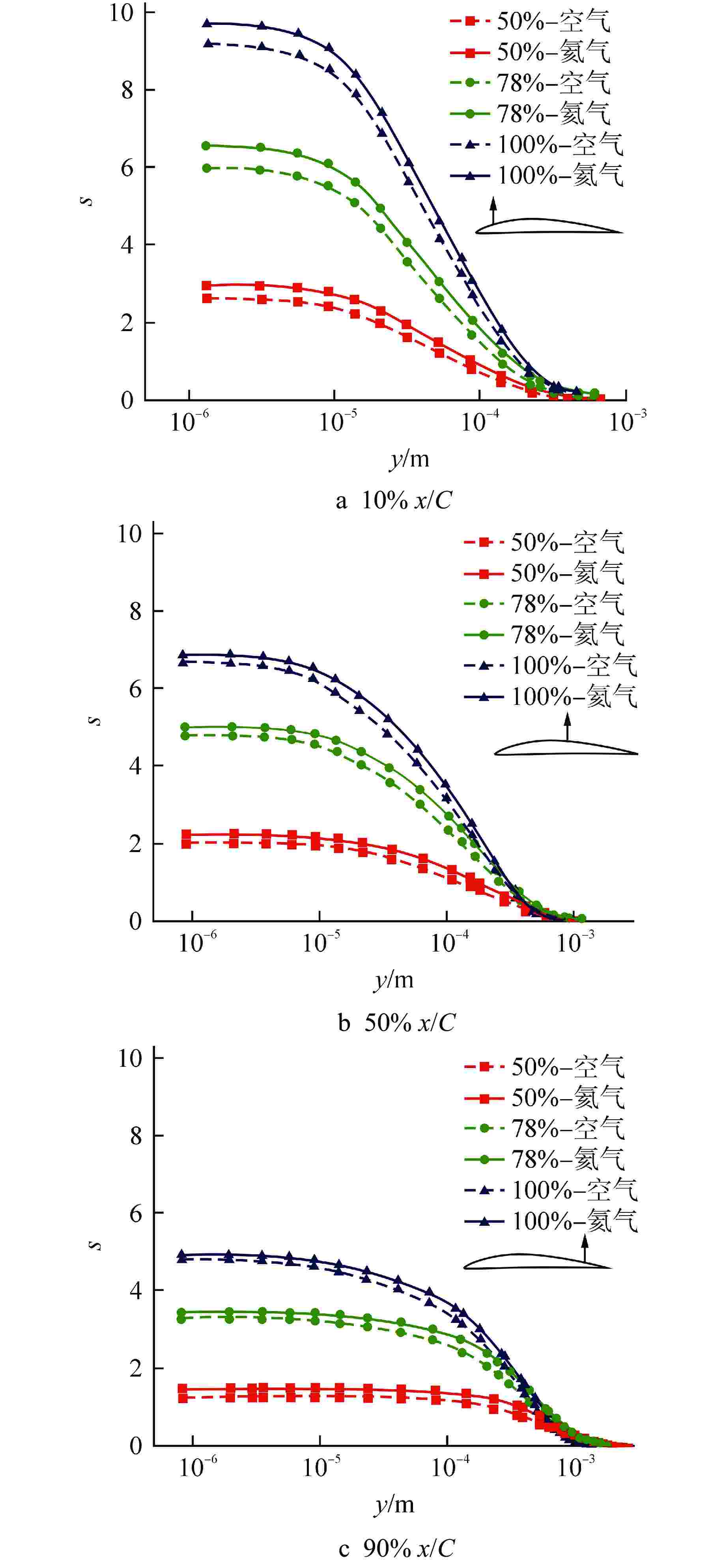
    图  9  熵增系数和相对速度在尾迹内的分布

    Figure  9.  Distribution of Entropy Increase Coefficient and Relative Velocity within the Wake

    图  10  分离区域的极限流线分布和熵增系数云图

    Figure  10.  Distribution of Limiting Streamlines at Separated Regions and Entropy Increase Coefficient

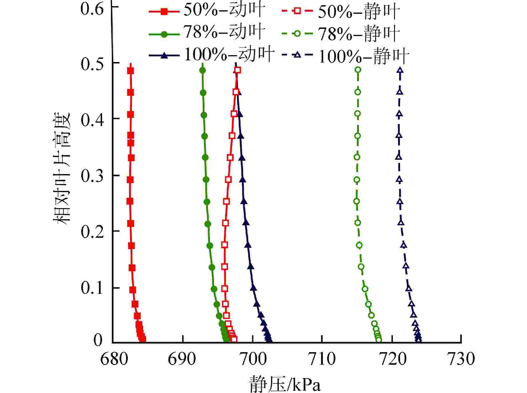
    图  11  动/静叶吸力面50%弦长位置展向压力分布

    Figure  11.  Spanwise Pressure Distribution at 50% Chord Length on Suction Surface of Rotor/Stator Vanes

    图  12  50%间隙高度时的静压云图

    Figure  12.  Nephogram of Static Pressure at 50% Clearance Height

    图  13  50%间隙高度时的熵增系数云图

    Figure  13.  Entropy Increase Coefficient at 50% Clearance Height      

    图  14  叶顶间隙流线和熵增系数云图

    红色箭头为叶顶泄漏流影响到下一个叶片压力面位置

    Figure  14.  Nephogram of Tip Clearance Streamline and Entropy Increase Coefficient

    图  15  叶顶泄漏的总压损失系数和相对泄漏量

    Figure  15.  Total Pressure Loss Coefficient and Relative Amount of Tip Leakage

    图  16  动/静叶中不同损失占比

    Figure  16.  The Percentage of Different Losses for Rotor and Stator       

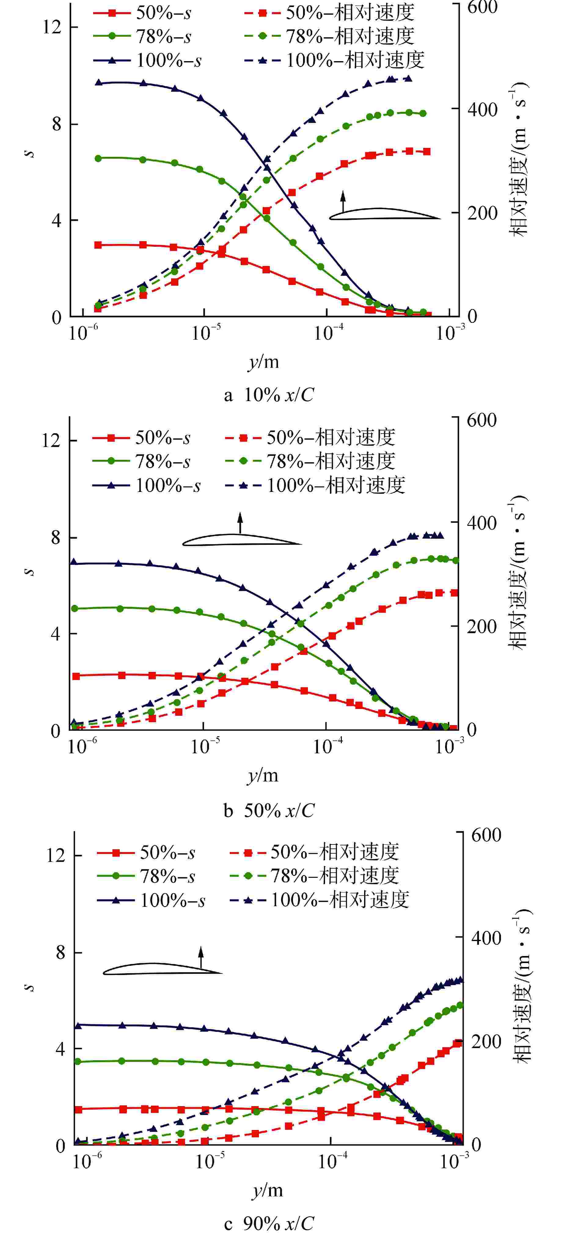
    图  17  第1级动叶不同相对弦长位置的熵增系数分布

    Figure  17.  Distribution of Entropy Increase Coefficient at Different Chord Lenghts of the First-stage Rotor

    图  18  总压损失系数比和修正系数的对比

    Figure  18.  Comparison of Total Pressure Loss Coefficient Ratio and Correction Coefficient

    表  1  氦气压气机设计参数

    Table  1.   Design Parameters of Helium Compressor Model

    设计参数 数值
    质量流量/(kg·s−1) 5.0
    进口总压/MPa 0.71
    进口总温/K 320
    总压比 1.2
    级数 5
    转速/(r·min−1) 15000
    动叶数量 77
    静叶数量 102
    第1级动叶高度/mm 27
    叶顶间隙 1% 叶高
    流量系数 0.4233
    载荷系数 0.286
    下载: 导出CSV

    表  2  氦气和空气压气机参数对比

    Table  2.   Parameter Comparison of Helium and Air Compressors     

    参数 氦气 空气
    进口总温/K 320 320
    进口总压/Pa 709275 239531
    转速/(r·min−1 15000 5576
    下载: 导出CSV
  • [1] BAMMERT K, BUENDE R. Comparison of nuclear power plants with closed-cycle helium turbine and with steam turbine cycle for combined power and steam generation[J]. Journal of Engineering for Power, 1973, 95(1): 11-18. doi: 10.1115/1.3445688
    [2] 周佳慧. 高温气冷堆氦气轮机基本特性的研究[D]. 哈尔滨: 哈尔滨工程大学, 2006.
    [3] GUT W. Comparison of the relative losses and characteristics of axialflow compressor stages[J]. Escher Wyss News, 1960, 22(23): 3-13.
    [4] TIAN Z T, REN P, MALIK A, et al. Research on the influence of highly loaded design method on the stability of helium compressor[J]. Progress in Nuclear Energy, 2021, 132: 103599. doi: 10.1016/j.pnucene.2020.103599
    [5] MALIK A, ZHENG Q, LIN A Q. The design and performance analysis of highly loaded compressor of closed Brayton cycle HTGR power plant with helium xenon gas mixture as working fluid[J]. Progress in Nuclear Energy, 2019, 117: 103084. doi: 10.1016/j.pnucene.2019.103084
    [6] 明亮, 杨小勇, 张佑杰, 等. 叶顶间隙与轴向间隙对氦气压气机气动特性的影响[J]. 清华大学学报: 自然科学版. 2017, 57(8): 832-837.
    [7] 田志涛,郑群,姜斌,等. 氦压气机转子叶顶间隙结构研究[J]. 哈尔滨工程大学学报,2019, 40(5): 938-943.
    [8] 苏洋,黄伟光,张靖煊,等. 多级轴流氦气压气机流动失稳实验研究[J]. 热能动力工程,2018, 33(1): 12-19. doi: 10.16146/j.cnki.rndlgc.2018.01.003
    [9] LIEBLEIN S. Loss and stall analysis of compressor cascades[J]. Journal of Basic Engineering, 1959, 81(3): 387-397. doi: 10.1115/1.4008481
    [10] 朱荣凯. 氦气轴流压气机相似模化研究[D]. 哈尔滨: 哈尔滨工程大学, 2008.
    [11] BROWN L E. Axial flow compressor and turbine loss coefficients: a comparison of several parameters[J]. Journal of Engineering for Power, 1972, 94(3): 193-201. doi: 10.1115/1.3445672
    [12] SAKIADIS B C. Boundary‐layer behavior on continuous solid surfaces: II. The boundary layer on a continuous flat surface[J]. AIChE Journal, 1961, 7(2): 221-225. doi: 10.1002/aic.690070211
  • 加载中
图(18) / 表(2)
计量
  • 文章访问数:  368
  • HTML全文浏览量:  131
  • PDF下载量:  81
  • 被引次数: 0
出版历程
  • 收稿日期:  2022-10-20
  • 修回日期:  2022-11-21
  • 刊出日期:  2023-10-13

目录

    /

    返回文章
    返回