高级检索

留言板

尊敬的读者、作者、审稿人, 关于本刊的投稿、审稿、编辑和出版的任何问题, 您可以本页添加留言。我们将尽快给您答复。谢谢您的支持!

姓名
邮箱
手机号码
标题
留言内容
验证码

氮和铝添加对改进型25Ni-20Cr奥氏体不锈钢700℃时效处理后显微组织和力学性能的影响

王琦 陈国帅 周张健 熊茹 郑继云 唐睿 张乐福

王琦, 陈国帅, 周张健, 熊茹, 郑继云, 唐睿, 张乐福. 氮和铝添加对改进型25Ni-20Cr奥氏体不锈钢700℃时效处理后显微组织和力学性能的影响[J]. 核动力工程, 2023, 44(5): 275-283. doi: 10.13832/j.jnpe.2023.05.0275
引用本文: 王琦, 陈国帅, 周张健, 熊茹, 郑继云, 唐睿, 张乐福. 氮和铝添加对改进型25Ni-20Cr奥氏体不锈钢700℃时效处理后显微组织和力学性能的影响[J]. 核动力工程, 2023, 44(5): 275-283. doi: 10.13832/j.jnpe.2023.05.0275
Wang Qi, Chen Guoshuai, Zhou Zhangjian, Xiong Ru, Zheng Jiyun, Tang Rui, Zhang Lefu. Effect of N and Al Addition on Microstructure and Mechanical Properties of Modified 25Ni-20Cr Austenitic Stainless Steel Aged at 700℃[J]. Nuclear Power Engineering, 2023, 44(5): 275-283. doi: 10.13832/j.jnpe.2023.05.0275
Citation: Wang Qi, Chen Guoshuai, Zhou Zhangjian, Xiong Ru, Zheng Jiyun, Tang Rui, Zhang Lefu. Effect of N and Al Addition on Microstructure and Mechanical Properties of Modified 25Ni-20Cr Austenitic Stainless Steel Aged at 700℃[J]. Nuclear Power Engineering, 2023, 44(5): 275-283. doi: 10.13832/j.jnpe.2023.05.0275

氮和铝添加对改进型25Ni-20Cr奥氏体不锈钢700℃时效处理后显微组织和力学性能的影响

doi: 10.13832/j.jnpe.2023.05.0275
基金项目: 国家重点研发计划项目(2018YFE0116200);国家自然科学基金(51001299)
详细信息
    作者简介:

    王 琦(1996—),男,硕士研究生,现主要从事AFA合金研究,E-mail: 823908344@qq.com

    通讯作者:

    周张健,E-mail: zhouzhj@mater.ustb.edu.cn

  • 中图分类号: TL334

Effect of N and Al Addition on Microstructure and Mechanical Properties of Modified 25Ni-20Cr Austenitic Stainless Steel Aged at 700℃

  • 摘要: 为提高25Ni-20Cr(S35140)奥氏体不锈钢的高温强度,以满足超临界水堆(SCWR)对包壳材料的应用要求。采用微合金化方法,通过添加N和Al元素,并在700℃高温时效对S35140钢的性能进行改进。结果表明,加N钢中析出纳米级NbN相,钉扎位错,随时效进行,室温拉伸强度略有提高,室温延伸率几乎不变,高温拉伸强度略有降低,而高温延伸率提升至65%,时效120 h后冲击功仍然达到111.39 J;加Al钢中析出大量NiAl相和Laves相,随时效进行,室温和高温拉伸强度均显著提升,室温拉伸强度甚至达到1000 MPa,而塑性和冲击韧性下降明显。因此在S35140钢中,加N提高了塑韧性,加Al提高了强度,均显著改善S35140钢的力学性能。

     

  • 图  1  改进型S35140实验钢的时效工艺

    Figure  1.  Aging Process of Modified S35140 Experimental Steel     

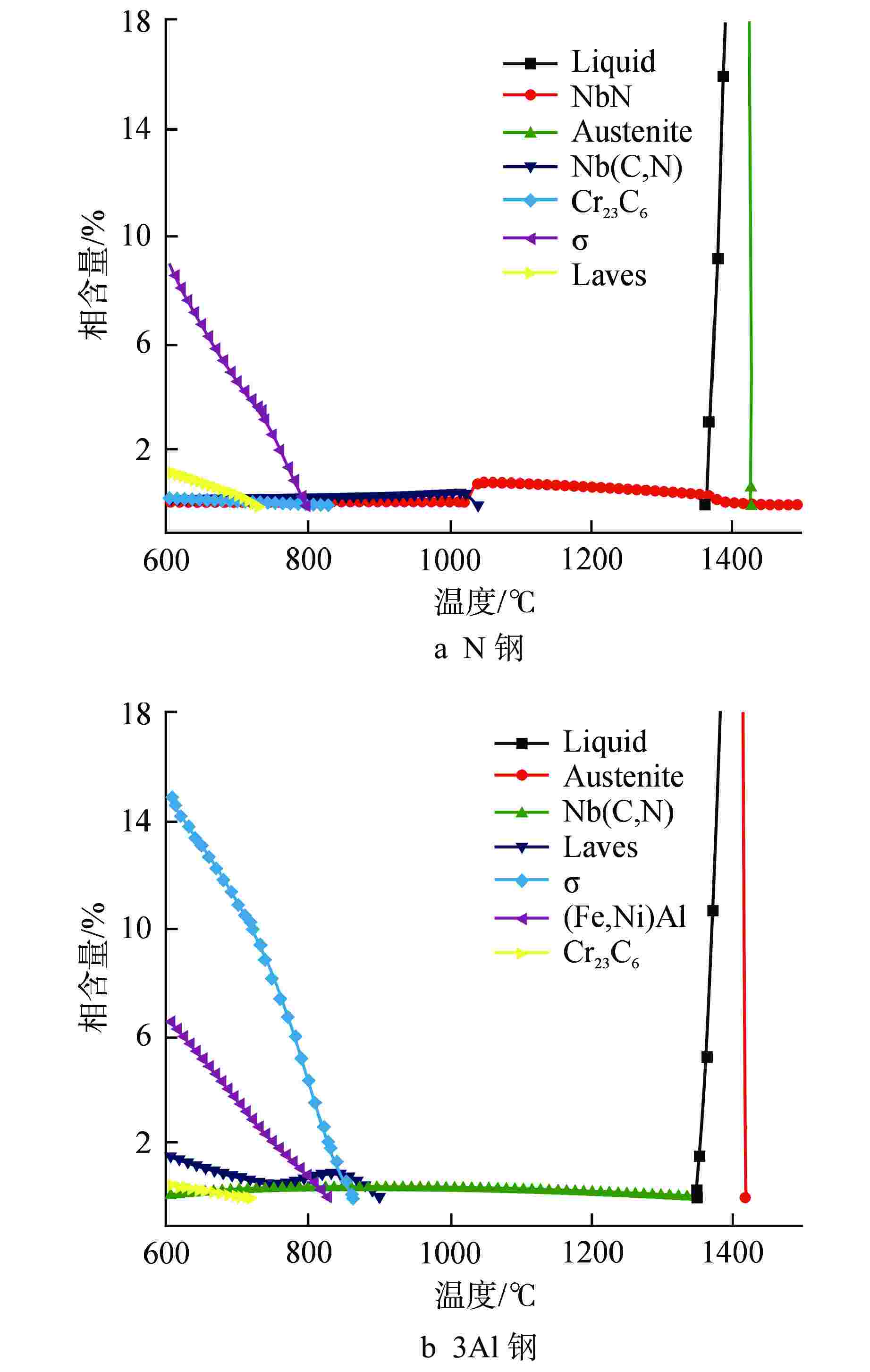
    图  2  2种钢的JMatPro软件计算结果

    Figure  2.  JMatPro Software Calculation Results for Two Kinds of Steel

    图  3  N钢在700℃时效不同时间的OM照片

    Figure  3.  OM Photos of N Steel Aged at 700℃ at Different Times    

    图  4  N钢在700℃时效过程中晶界析出相的SEM照片

    Figure  4.  SEM Photographs of Precipitates at Grain Boundary of N Steel during Aging at 700℃

    图  5  3Al钢在700℃时效过程中晶界析出相的SEM照片

    Figure  5.  SEM Photographs of Precipitates at Grain Boundary of 3Al Steel during Aging at 700℃

    图  6  时效360 h后N钢晶界处析出相的TEM照片及面扫结果

    Figure  6.  TEM Photographs and EDS Maping of Precipitates at Grain Boundary of N Steel after 360 h Aging

    图  7  时效360 h后3Al钢晶内处析出相的TEM照片及面扫结果

    Figure  7.  TEM Photographs and EDS Maping of Intragranular Precipitates in 3Al Steel after 360 h Aging

    图  8  时效360 h后N钢晶界析出相的SAED图

    Figure  8.  SAED Photographs of Precipitates at Grain Boundary of N Steel after Aging for 360 h

    图  9  时效360 h后N钢晶内析出相TEM照片

    Figure  9.  TEM Photographs of Intragranular Precipitates in N Steel after 360 h Aging

    图  10  时效360 h后3Al钢晶内析出相的TEM照片

    Figure  10.  TEM Photographs of Intragranular Precipitates in 3Al Steel after 360 h Aging

    图  11  N钢在室温及700℃高温下的应力-应变曲线

    Figure  11.  Stress-Strain Curves of N Steel at Room Temperature and 700℃

    图  12  3Al钢在室温及700℃高温下的应力-应变曲线

    Figure  12.  Stress-Strain Curves of 3Al Steel at Room Temperature and 700℃

    图  13  N钢时效态样品室温拉伸断口的SEM照片

    Figure  13.  SEM Photographs of Tensile Fracture of Aged N Steel Sample at Room Temperature

    图  14  3Al钢时效态样品室温拉伸断口的SEM照片

    Figure  14.  SEM Photographs of Tensile Fracture of Aged 3Al Steel Sample at Room Temperature

    表  1  2种改进型S35140钢的实际成分

    Table  1.   Actual Composition of Two Kinds of Modified S35140 Steel          

    实验钢 元素质量分数/%
    Cr Ni Nb Al Si C Mo N Ti Fe
    N钢 19.59 24.20 0.77 0.02 0.4 0.03 1.69 0.1 0.04 Bal.
    3Al钢 17.31 28.51 0.58 3.11 0.1 0.04 2.28 0 0.02 Bal.
      Bal.—Fe元素占比余量
    下载: 导出CSV

    表  2  时效360 h后N钢晶内析出相的EDS结果

    Table  2.   EDS Results for Intragranular Precipitates in N Steel after 360 h Aging

    标记 元素原子百分比/%
    C N Cr Fe Ni Nb Mo
    0 6.28 7.28 5.25 1.50 79.69 0
    0 2.43 18.43 5.01 1.64 66.81 5.69
    0.15 3.30 17.64 26.00 12.24 39.36 1.32
    0.83 2.74 10.08 9.71 3.26 72.57 0.81
    0 2.60 20.09 50.22 24.59 0.10 2.39
    下载: 导出CSV

    表  3  时效360 h后3Al钢晶内析出相的EDS结果

    Table  3.   EDS Results of Intragranular Precipitates in 3Al Steel after 360 h Aging

    标记 元素原子百分比/%
    C Al Cr Fe Ni Nb Mo
    0 28.91 2.43 13.68 54.51 0.18 0.26
    0 10.00 11.70 45.58 32.13 0.03 0.55
    0 6.45 13.15 48.53 31.19 0.02 0.66
    0.84 28.81 2.42 14.38 53.17 0.10 0.15
    0 0.76 15.08 54.53 11.74 5.21 12.53
    0.10 0.53 13.26 45.18 6.18 10.08 24.55
    0 1.23 15.45 53.74 11.61 5.67 13.12
    0 1.63 16.80 61.08 18.90 0.15 1.38
    下载: 导出CSV

    表  4  N钢和3Al钢时效态样品的室温冲击功

    Table  4.   Impact Energy of Aged N and 3Al Steel at Room Temperature

    钢种 时效时间/h 冲击功/J
    N钢 0 264.47
    50 166.87
    360 111.39
    3Al钢 0 357.76
    120 44.81
    360 48.24
    下载: 导出CSV
  • [1] ISEDA A, OKADA H, SEMBA H, et al. Long term creep properties and microstructure of SUPER304H, TP347HFG and HR3C for A-USC boilers[J]. Energy Materials, 2007, 2(4): 199-206. doi: 10.1179/174892408X382860
    [2] ZHANG N Q, LI B R, BAI Y, et al. Oxidation of austenitic steel TP347HFG exposed to supercritical water with different dissolved oxygen concentration[J]. Applied Mechanics and Materials, 2011, 148-149: 1179-1183. doi: 10.4028/www.scientific.net/AMM.148-149.1179
    [3] ODETTE G R, ALINGER M J, WIRTH B D. Recent developments in irradiation-resistant steels[J]. Annual Review of Materials Research, 2008, 38: 471-503. doi: 10.1146/annurev.matsci.38.060407.130315
    [4] LINDAU R, MÖSLANG A, SCHIRRA M, et al. Mechanical and microstructural properties of a hipped RAFM ODS-steel[J]. Journal of Nuclear Materials, 2002, 307-311: 769-772. doi: 10.1016/S0022-3115(02)01045-0
    [5] SAGARADZE V V, SHALAEV V I, ARBUZOV V L, et al. Radiation resistance and thermal creep of ODS ferritic steels[J]. Journal of Nuclear Materials, 2001, 295(2-3): 265-272. doi: 10.1016/S0022-3115(01)00511-6
    [6] RAMAR A, SPÄTIG P, SCHÄUBLIN R. Analysis of high temperature deformation mechanism in ODS EUROFER97 alloy[J]. Journal of Nuclear Materials, 2008, 382(2-3): 210-216. doi: 10.1016/j.jnucmat.2008.08.009
    [7] MUKHOPADHYAY D K, FROES F H, GELLES D S. Development of oxide dispersion strengthened ferritic steels for fusion[J]. Journal of Nuclear Materials, 1998, 258-263: 1209-1215. doi: 10.1016/S0022-3115(98)00188-3
    [8] YUTANI K, KISHIMOTO H, KASADA R, et al. Evaluation of Helium effects on swelling behavior of oxide dispersion strengthened ferritic steels under ion irradiation[J]. Journal of Nuclear Materials, 2007, 367-370: 423-427. doi: 10.1016/j.jnucmat.2007.03.016
    [9] CHO H S, KIMURA A, UKAI S, et al. Corrosion properties of oxide dispersion strengthened steels in super-critical water environment[J]. Journal of Nuclear Materials, 2004, 329-333: 387-391. doi: 10.1016/j.jnucmat.2004.04.040
    [10] YOSHITAKE T, OHMORI T, MIYAKAWA S. Burst properties of irradiated oxide dispersion strengthened ferritic steel claddings[J]. Journal of Nuclear Materials, 2002, 307-311: 788-792. doi: 10.1016/S0022-3115(02)00947-9
    [11] ALAMO A, BERTIN J L, SHAMARDIN V K, et al. Mechanical properties of 9Cr martensitic steels and ODS-FeCr alloys after neutron irradiation at 325℃ up to 42dpa[J]. Journal of Nuclear Materials, 2007, 367-370: 54-59. doi: 10.1016/j.jnucmat.2007.03.166
    [12] WAS G S, AMPORNRAT P, GUPTA G, et al. Corrosion and stress corrosion cracking in supercritical water[J]. Journal of Nuclear Materials, 2007, 371(1-3): 176-201. doi: 10.1016/j.jnucmat.2007.05.017
    [13] ZHANG Q, TANG R, YIN K J, et al. Corrosion behavior of Hastelloy C-276 in supercritical water[J]. Corrosion Science, 2009, 51(9): 2092-2097. doi: 10.1016/j.corsci.2009.05.041
    [14] FULGER M, OHAI D, MIHALACHE M, et al. Oxidation behavior of Incoloy 800 under simulated supercritical water conditions[J]. Journal of Nuclear Materials, 2009, 385(2): 288-293. doi: 10.1016/j.jnucmat.2008.12.004
    [15] 胡本芙,余泉茂,高桥平七郎,等. 氦对Fe-Cr-Ni合金和Fe-Cr-Mn合金辐照损伤的影响[J]. 核科学与工程,2003, 23(2): 145-151. doi: 10.3321/j.issn:0258-0918.2003.02.010
    [16] 刘含莲,滕新营,王执福,等. Fe-Cr-Ni-N高温耐热钢的抗氧化性研究[J]. 铸造技术,2001, 22(6): 55-57. doi: 10.3969/j.issn.1000-8365.2001.06.023
    [17] 王荣光,魏云,张清廉,等. 奥氏体不锈钢SUS316及SUS316L在含Cl的饱和H2S水溶液中的应力腐蚀行为研究[J]. 中国腐蚀与防护学报,2000, 20(1): 47-53. doi: 10.3969/j.issn.1005-4537.2000.01.008
    [18] 周军,李中奎. 轻水反应堆(LWR)用包壳材料研究进展[J]. 中国材料进展,2014, 33(9-10): 554-559.
    [19] 张小可,纪仁峰,周灿栋. 超级奥氏体不锈钢00Cr20Ni25Mo6N0.15的时效析出相研究[J]. 宝钢技术,2021(6): 35-43,47. doi: 10.3969/j.issn.1008-0716.2021.06.006
    [20] BRADY M P, MAGEE J, YAMAMOTO Y, et al. Co-optimization of wrought alumina-forming austenitic stainless steel composition ranges for high-temperature creep and oxidation/corrosion resistance[J]. Materials Science and Engineering:A, 2014, 590: 101-115. doi: 10.1016/j.msea.2013.10.014
    [21] 徐向棋,吕昭平. 新一代新型抗高温氧化奥氏体耐热钢的研究进展[J]. 中国材料进展,2011, 30(12): 1-5+33.
    [22] VISWANATHAN R, BAKKER W. Materials for ultrasupercritical coal power plants-Turbine materials: part II[J]. Journal of Materials Engineering and Performance, 2001, 10(1): 96-101. doi: 10.1361/105994901770345402
    [23] VISWANATHAN R, COLEMAN K, RAO U. Materials for ultra-supercritical coal-fired power plant boilers[J]. International Journal of Pressure Vessels and Piping, 2006, 83(11-12): 778-783. doi: 10.1016/j.ijpvp.2006.08.006
    [24] BRADY M P, YAMAMOTO Y, SANTELLA M L, et al. Composition, microstructure, and water vapor effects on internal/external oxidation of alumina-forming austenitic stainless steels[J]. Oxidation of Metals, 2009, 72(5): 311-333.
    [25] BRADY M P, UNOCIC K A, LANCE M J, et al. Increasing the Upper temperature oxidation limit of alumina forming austenitic stainless steels in air with water vapor[J]. Oxidation of Metals, 2011, 75(5): 337-357.
    [26] BRADY M P, YAMAMOTO Y, SANTELLA M L, et al. Effects of minor alloy additions and oxidation temperature on protective alumina scale Formation in creep-resistant austenitic stainless steels[J]. Scripta Materialia, 2007, 57(12): 1117-1120. doi: 10.1016/j.scriptamat.2007.08.032
    [27] STOTT F H, WOOD G C, STRINGER J. The influence of alloying elements on the development and maintenance of protective scales[J]. Oxidation of Metals, 1995, 44(1-2): 113-145. doi: 10.1007/BF01046725
    [28] 王曼. 新型奥氏体钢显微组织结构稳定性及力学性能的研究[D]. 北京: 北京科技大学, 2017.
    [29] 孙胜英. 新型奥氏体耐热钢的制备与性能优化[D]. 北京: 北京科技大学, 2014
  • 加载中
图(14) / 表(4)
计量
  • 文章访问数:  1279
  • HTML全文浏览量:  150
  • PDF下载量:  77
  • 被引次数: 0
出版历程
  • 收稿日期:  2022-11-21
  • 修回日期:  2023-01-17
  • 刊出日期:  2023-10-13

目录

    /

    返回文章
    返回