高级检索

留言板

尊敬的读者、作者、审稿人, 关于本刊的投稿、审稿、编辑和出版的任何问题, 您可以本页添加留言。我们将尽快给您答复。谢谢您的支持!

姓名
邮箱
手机号码
标题
留言内容
验证码

主泵转矩在两相条件下特性试验研究

王阔 苏前华 卢冬华 彭帆 邢军 洪荣坤

王阔, 苏前华, 卢冬华, 彭帆, 邢军, 洪荣坤. 主泵转矩在两相条件下特性试验研究[J]. 核动力工程, 2023, 44(6): 134-139. doi: 10.13832/j.jnpe.2023.06.0134
引用本文: 王阔, 苏前华, 卢冬华, 彭帆, 邢军, 洪荣坤. 主泵转矩在两相条件下特性试验研究[J]. 核动力工程, 2023, 44(6): 134-139. doi: 10.13832/j.jnpe.2023.06.0134
Wang Kuo, Su Qianhua, Lu Donghua, Peng Fan, Xing Jun, Hong Rongkun. Experimental Research on Characteristics of Reactor Coolant Pump Torque under Two-Phase Conditions[J]. Nuclear Power Engineering, 2023, 44(6): 134-139. doi: 10.13832/j.jnpe.2023.06.0134
Citation: Wang Kuo, Su Qianhua, Lu Donghua, Peng Fan, Xing Jun, Hong Rongkun. Experimental Research on Characteristics of Reactor Coolant Pump Torque under Two-Phase Conditions[J]. Nuclear Power Engineering, 2023, 44(6): 134-139. doi: 10.13832/j.jnpe.2023.06.0134

主泵转矩在两相条件下特性试验研究

doi: 10.13832/j.jnpe.2023.06.0134
详细信息
    作者简介:

    王 阔(1987—),男,硕士研究生,现主要从事反应堆热工水力实验研究,E-mail: wangkuo82524737@163.com

    通讯作者:

    苏前华,E-mail: suqianhua@cgnpc.com.cn

  • 中图分类号: TL353

Experimental Research on Characteristics of Reactor Coolant Pump Torque under Two-Phase Conditions

  • 摘要: 为掌握主泵的两相转矩特性,本研究搭建专设台架,以经过模化缩比设计的试验泵为对象,开展试验研究。首先对泵多转速单相液条件下的正常工况、反水泵工况、正反耗能工况、正反水轮机工况等的流动特性开展试验,之后选取单相气和0.1~0.9空泡份额(空泡份额跨度为0.1)两相条件下的主泵针对上述工况逐一开展研究。利用比例定律对多转速下的实验数据进行整理,掌握了其转矩在不同空泡份额、不同流量、不同工况下的变化规律,在此数据基础上可同时处理得到适用于一回路安全分析软件的泵同源曲线。研究结果表明,随着空泡份额的增加,相同工况下的转矩不断减小,比例定律曲线逐渐向零点漂移,而同源曲线会存在先降级再回归的过程,当空泡份额达到0.7左右时,降级程度达到最大。

     

  • 图  1  试验回路系统流程图

    MAV—阀门;Fm—流量计

    Figure  1.  Flow Chart of Experimental Loop

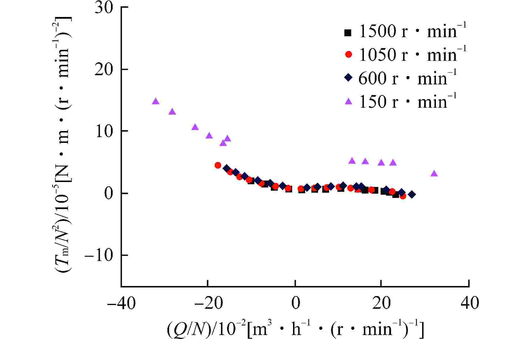
    图  2  单相液正转直测转矩比例定律曲线

    Figure  2.  Proportionality Law Curves of Directly Measured Torque under Positive Rotation with Single-phase Liquid

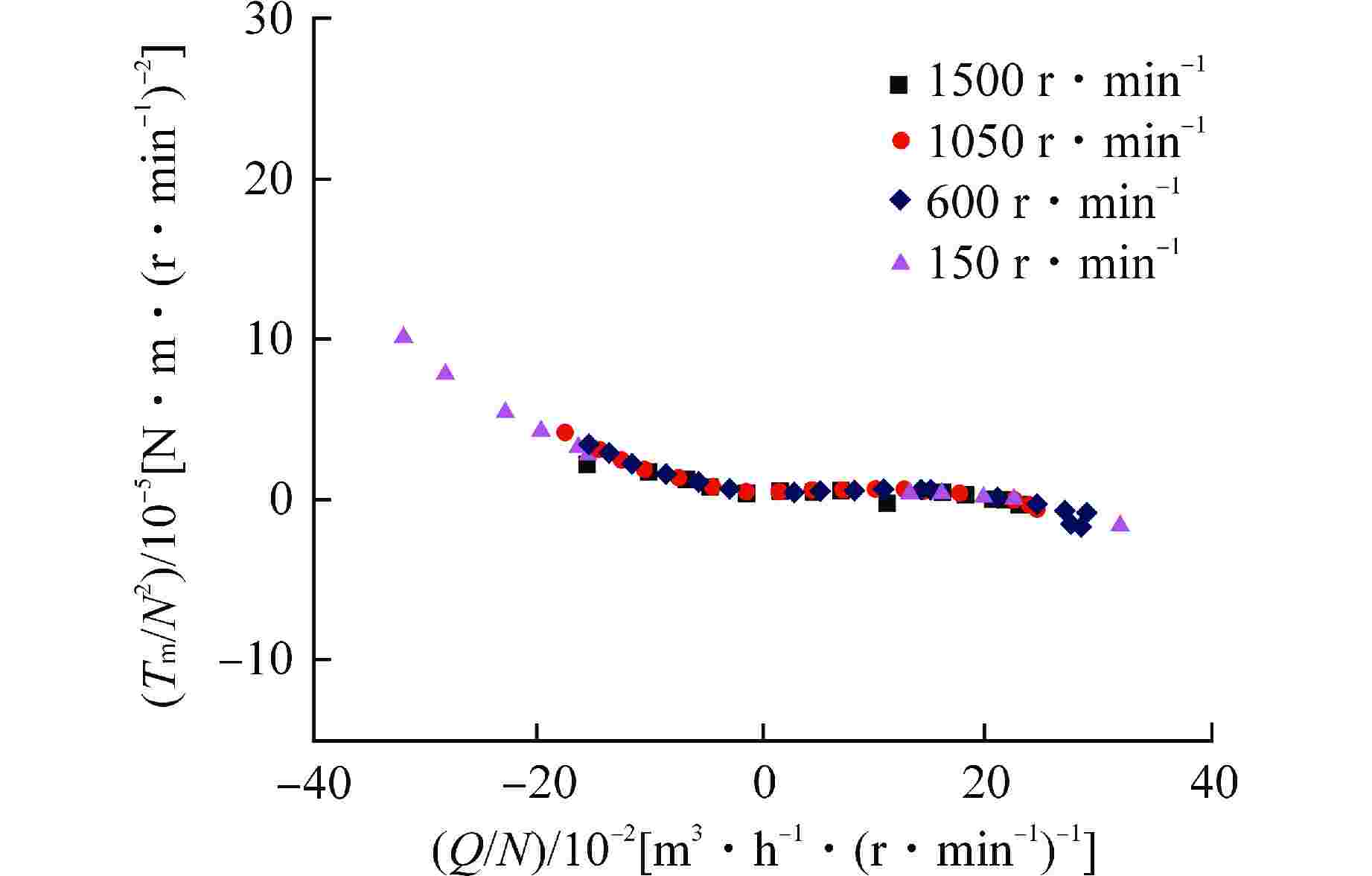
    图  3  单相液正转修正转矩比例定律曲线

    Figure  3.  Proportionality Law Curves of Corrected Torque under Positive Rotation with Single-phase Liquid

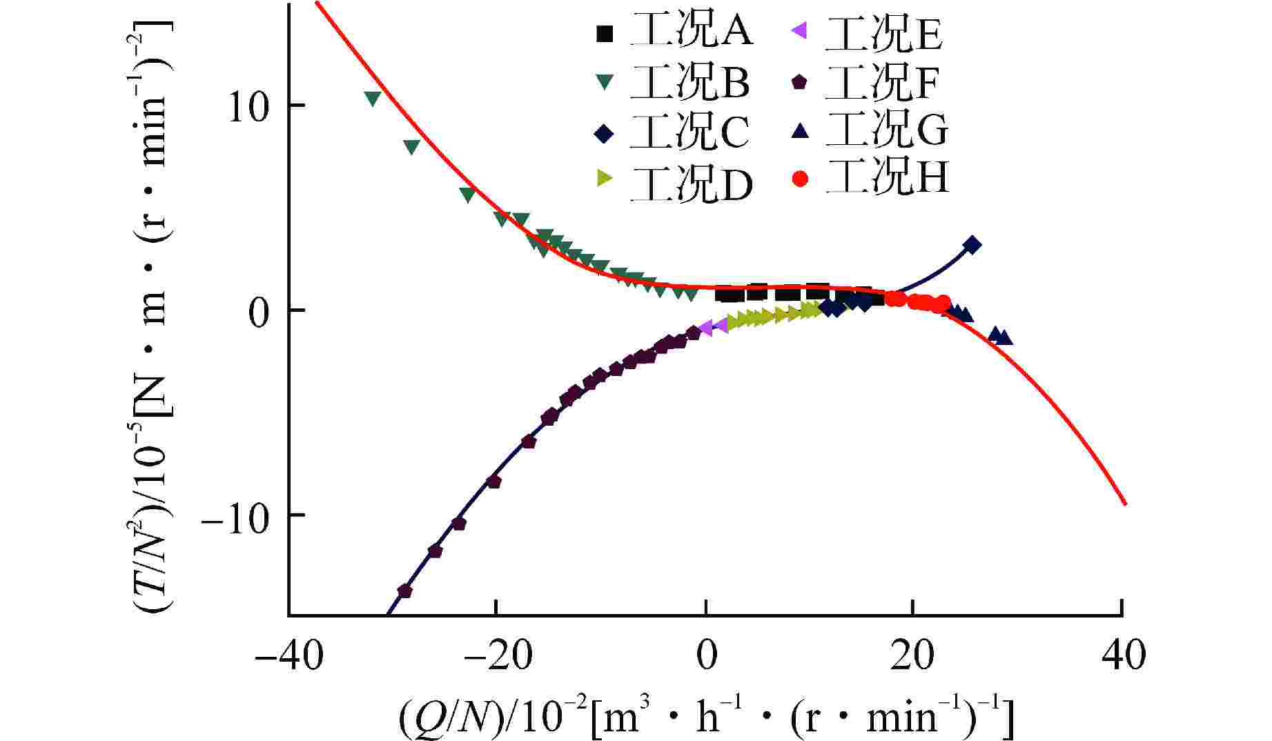
    图  4  单相液正转和反转转矩比例定律曲线

    Figure  4.  Proportionality Law Curves of Torque under Positive Rotation and Reverse Rotation with Single-phase Liquid

    图  5  单相液转矩同源曲线

    Figure  5.  Homologous Curves of Torque with Single-phase Liquid       

    图  6  不同空泡份额正转转矩比例定律曲线

    Figure  6.  Proportionality Law Curves of of Torque under Positive Rotation with Different Void Fractions

    图  7  不同空泡份额反转转矩比例定律曲线

    Figure  7.  Proportionality Law Curves of of Torque under Reverse Rotation with Different Void Fractions

    图  8  两相最大降级曲线与单相同源曲线比较

    Figure  8.  Comparison between Two-Phase Maximum Degradation Curves and Single-Phase Homologous Curves

    图  9  两相转矩降级乘子与空泡份额对应关系

    Figure  9.  Corresponding Relationship between Two-Phase Torque Degradation Multiplier and Void Fraction

    表  1  试验工况

    Table  1.   Test Conditions

    α 泵转速/(r·min−1) 具体运行工况
    0 ±1500、±1050、±600、±150  正常工况、反水泵工况、
    正反耗能工况、正反水轮机
    工况等
    0.1~0.9 ±1500、±1050、±600
    1.0 ±1500、±1050
    下载: 导出CSV
  • [1] 苏前华,王阔,邢军,等. 两相条件下主泵特性试验研究[J]. 核动力工程,2021, 42(1): 129-132.
    [2] 郭义航. 离心泵扭矩和转速的非定常特性研究[D]. 镇江: 江苏大学, 2017.
    [3] 钱卫东. AP1400核主泵的四象限特性试验研究[J]. 水泵技术,2015(5): 7-12.
    [4] 杨绪剑,张策,王丽平. 离心泵四象限运行特性曲线试验系统[J]. 机床与液压,2008, 36(4): 71-72,76.
    [5] 郑梦海. 泵测试实用技术[M]. 第二版. 北京: 机械工业出版社, 2011: 40-44.
    [6] CHOI K Y, KIM Y S, YI S J, et al. Development of a pump performance model for an integral effect test facility[J]. Nuclear Engineering and Design, 2008, 238(10): 2614-2623. doi: 10.1016/j.nucengdes.2008.04.005
    [7] OLSON D J. Single- and two-phase performance characteristics of the MOD-1 semiscale pump under steady state and transient fluid conditions: ANCR-1165[R]. U.S.: Aerojet Nuclear Company, 1974.
    [8] OLSON D J. Experimental data report for single and two-phase steady state tests of the 1-1/2 loop MOD-1 semiscale system pump:ANCR-1165[R]. U.S.: Aerojet Nuclear Company, 1974.
    [9] Relap5/MOD3.3 code manual volume II: user’s guide and input requirement[M]. Rockville, Maryland: U. S. Nuclear Regulatory Commissionn, 2001: 44-54.
    [10] 高璞珍. 核动力装置用泵[M]. 哈尔滨: 哈尔滨工程大学出版社, 2009: 36-37.
    [11] MITRA D R. Fluid-elastic instability in tube arrays subjected to air-water and steam-water cross-flow[D]. Los Angeles: University of California, 2005.
  • 加载中
图(9) / 表(1)
计量
  • 文章访问数:  1342
  • HTML全文浏览量:  75
  • PDF下载量:  33
  • 被引次数: 0
出版历程
  • 收稿日期:  2023-01-16
  • 修回日期:  2023-04-23
  • 网络出版日期:  2023-12-11
  • 刊出日期:  2023-12-15

目录

    /

    返回文章
    返回