高级检索

留言板

尊敬的读者、作者、审稿人, 关于本刊的投稿、审稿、编辑和出版的任何问题, 您可以本页添加留言。我们将尽快给您答复。谢谢您的支持!

姓名
邮箱
手机号码
标题
留言内容
验证码

华龙一号主泵卡轴事故工况瞬态过渡过程数值分析

潘军 黎义斌 瞿泽晖 郭艳磊 杨从新 王秀勇

潘军, 黎义斌, 瞿泽晖, 郭艳磊, 杨从新, 王秀勇. 华龙一号主泵卡轴事故工况瞬态过渡过程数值分析[J]. 核动力工程, 2024, 45(1): 201-209. doi: 10.13832/j.jnpe.2024.01.0201
引用本文: 潘军, 黎义斌, 瞿泽晖, 郭艳磊, 杨从新, 王秀勇. 华龙一号主泵卡轴事故工况瞬态过渡过程数值分析[J]. 核动力工程, 2024, 45(1): 201-209. doi: 10.13832/j.jnpe.2024.01.0201
Pan Jun, Li Yibin, Qu Zehui, Guo Yanlei, Yang Congxin, Wang Xiuyong. Numerical Analysis of Transient Process of HPR1000 Reactor Coolant Pump Shaft Jamming Accident Condition[J]. Nuclear Power Engineering, 2024, 45(1): 201-209. doi: 10.13832/j.jnpe.2024.01.0201
Citation: Pan Jun, Li Yibin, Qu Zehui, Guo Yanlei, Yang Congxin, Wang Xiuyong. Numerical Analysis of Transient Process of HPR1000 Reactor Coolant Pump Shaft Jamming Accident Condition[J]. Nuclear Power Engineering, 2024, 45(1): 201-209. doi: 10.13832/j.jnpe.2024.01.0201

华龙一号主泵卡轴事故工况瞬态过渡过程数值分析

doi: 10.13832/j.jnpe.2024.01.0201
基金项目: 甘肃省教育厅“双一流”重点项目;国防基础科研计划项目(JCKY2019427D001)
详细信息
    作者简介:

    潘 军(1999—),男,硕士研究生,主要从事离心泵卡轴事故过渡过程管路瞬变特性研究,E-mail: 18894044710@163.com

    通讯作者:

    黎义斌,E-mail: liyibin58@163.com

  • 中图分类号: TL334

Numerical Analysis of Transient Process of HPR1000 Reactor Coolant Pump Shaft Jamming Accident Condition

  • 摘要: 为揭示核主泵卡轴事故工况管路瞬变机制,通过匹配核主泵和反应堆一回路系统管路阻力特性的关系,建立三环路反应堆冷却剂系统的简化水体模型。基于计算流体动力学(CFD)方法,再现了卡轴事故工况下系统内部的实际瞬态流动过程及其参数实时变化规律,构建了卡轴工况下反应堆冷却剂系统事故安全评估方法,对卡轴事故工况下系统主管路压力、过渡段弯头壁面载荷、三种典型曲率半径传热管压力的瞬态变化情况进行分析。研究表明:在卡轴事故过程中,事故环路中流量在下降至0 m3/h后反向增加,发生倒流现象;事故环路与其他环路的压力和壁面载荷在发生卡轴事故后均会发生剧烈变化后稳定,且事故环路变化程度更大;不同曲率半径传热管压力振荡规律基本一致,且沿各传热管进口至出口方向,监测点的压力峰值逐渐递增。

     

  • 图  1  核主泵流体域三维模型

    Figure  1.  Computational Domain of Reactor Coolant Pump

    图  2  三环路反应堆冷却剂系统简化模型

    Figure  2.  Simplified Model of the Three-Loop Reactor Coolant System

    图  3  核主泵计算域网格

    Figure  3.  Reactor Coolant Pump Computational Domain Grid

    图  4  网格无关性验证

    Figure  4.  Grid Independence Verification

    图  5  系统管路部件网格划分

    Figure  5.  Meshing of System Piping Components

    图  6  系统主管道监测点及壁面示意图

    Figure  6.  Schematic Diagram of Monitoring Points and Wall of Main Pipeline of the System

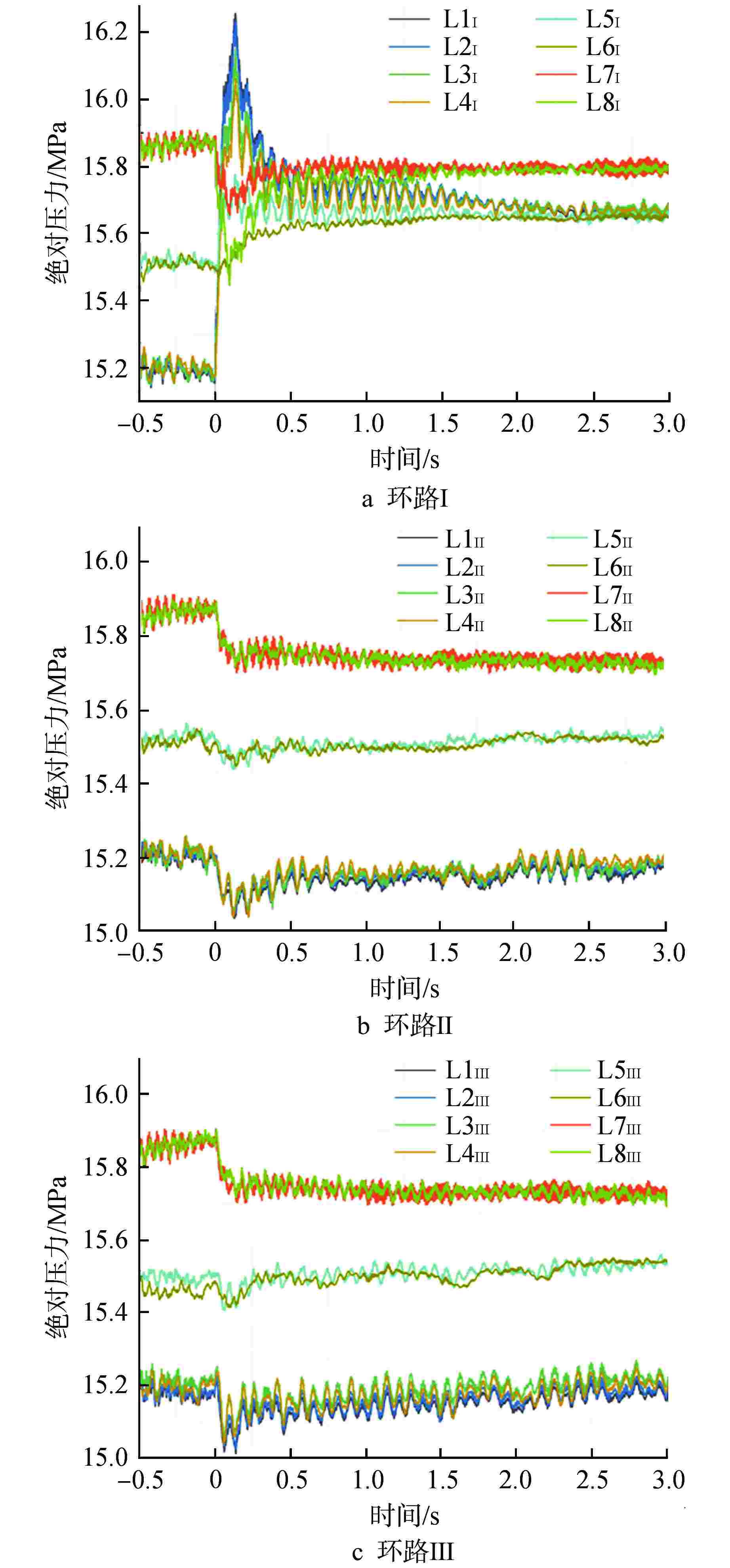
    图  7  各环路流量随时间变化

    Figure  7.  Flow of Each Loop Changes with Time

    图  8  系统内各监测点的压力振荡规律

    Figure  8.  Pressure Oscillation Law of Each Monitoring Point in System

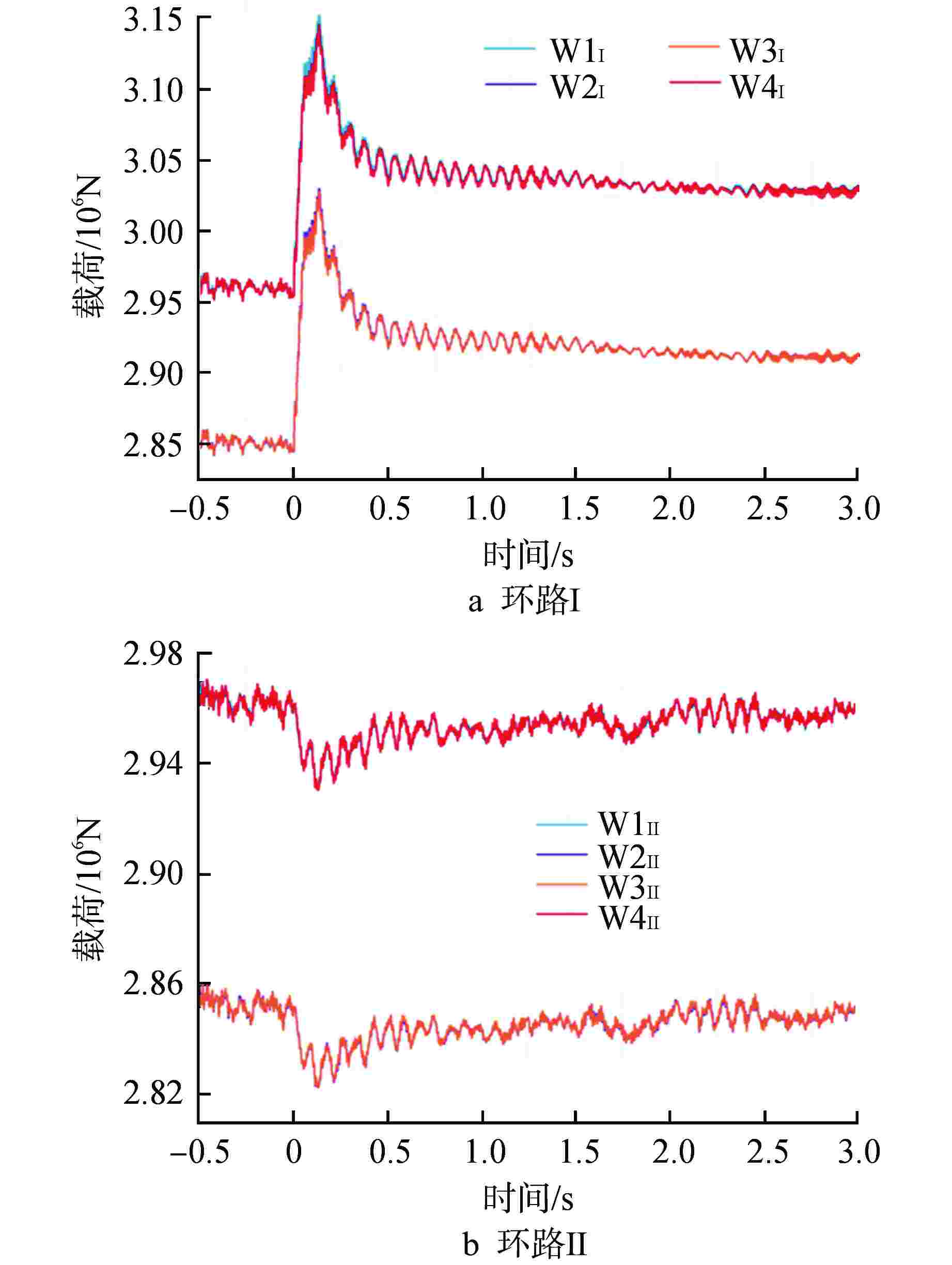
    图  9  过渡段第一个弯头处壁面载荷力

    Figure  9.  Wall Load Force at the First Elbow of Transition Section    

    图  10  蒸汽发生器三种曲率半径传热管相对位置关系

    Figure  10.  Relative Position Relationship of Heat Transfer Tubes with Three Curvature Radii in Steam Generator

    图  11  传热管进出口瞬态压力边界

    Figure  11.  Transient Pressure Boundary at Inlet and Outlet of Heat Transfer Tube

    图  12  传热管监测点及壁面示意图

    Figure  12.  Heat Transfer Tube Monitoring Points and Wall

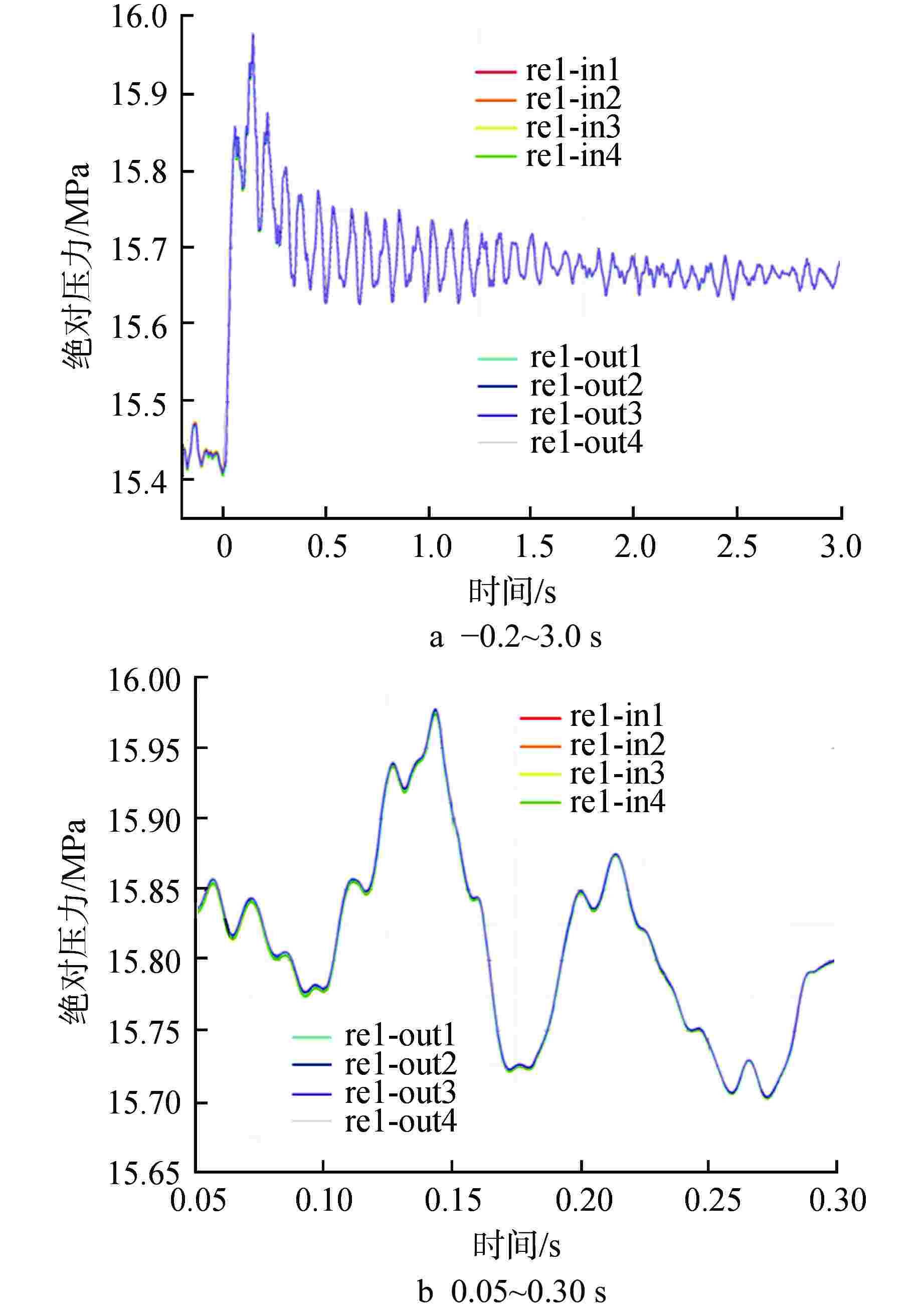
    图  13  传热管re1监测点压力振荡规律

    Figure  13.  Pressure Oscillation Law at re1 Monitoring Point of Heat Transfer Tube

    图  14  传热管re56监测点压力振荡规律

    Figure  14.  Pressure Oscillation Law at re56 Monitoring Point of Heat Transfer Tube

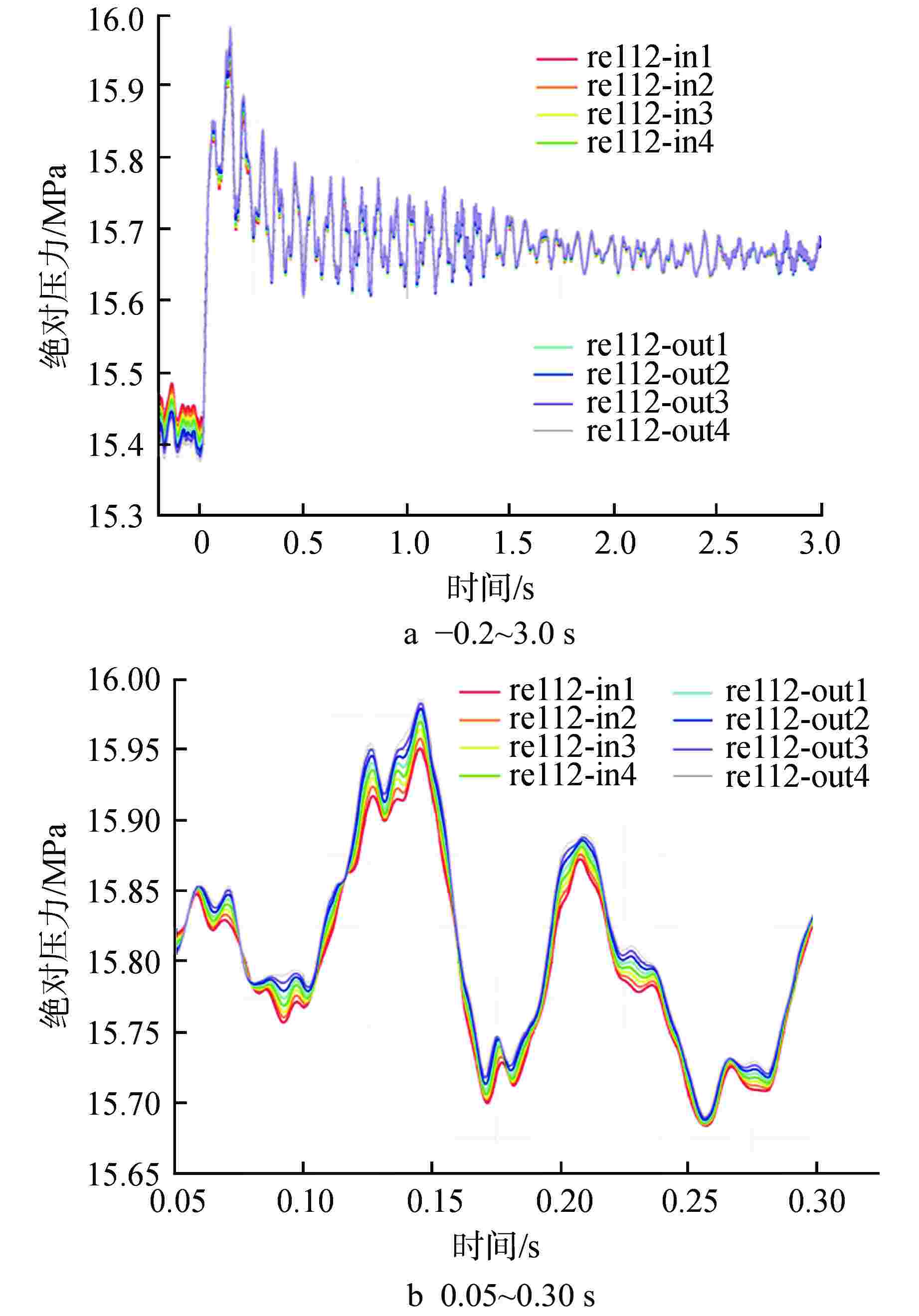
    图  15  传热管re112监测点压力振荡规律

    Figure  15.  Pressure Oscillation Law at re112 Monitoring Point of Heat Transfer Tube

    表  1  核主泵额定参数

    Table  1.   Rated Parameters of Reactor Coolant Pump

    参数名 参数值
    额定流量/(m3·h−1) 24680
    设计扬程/m 91
    额定转速/(r·min−1) 1485
    参考压力/MPa 15.5
    水力效率/% 79
    下载: 导出CSV

    表  2  过渡段第一个弯头处的特殊时间壁面载荷值

    Table  2.   Wall Load Values at Special Time at the First Elbow of Transition Section

    监测壁面 载荷/106 N
    正常运行 峰值/谷值 卡轴结束
    W1 2.960 3.152 3.031
    W2 2.850 3.030 2.912
    W3 2.850 3.028 2.912
    W4 2.960 3.146 3.029
    W1 2.962 2.931 2.959
    W2 2.852 2.823 2.850
    W3 2.852 2.823 2.850
    W4 2.962 2.931 2.959
    下载: 导出CSV

    表  3  不同曲率半径传热管各监测点瞬态压力波峰值

    Table  3.   Peak Value of Transient Pressure Wave at Each Monitoring Point of Heat Transfer Tube with Different Radius of Curvature

    监测点位置 压力/MPa
    Re1-3 Re56-3 Re112-2
    in1 15.9743 15.9737 15.9510
    in2 15.9750 15.9765 15.9581
    in3 15.9754 15.9804 15.9643
    in4 15.9757 15.9833 15.9700
    out1 15.9763 15.9863 15.9750
    out2 15.9772 15.9889 15.9793
    out3 15.9778 15.9911 15.9830
    out4 15.9783 15.9928 15.9860
    下载: 导出CSV
  • [1] LONG Y, WANG D Z, YIN J L, et al. Numerical investigation on the unsteady characteristics of reactor coolant pumps with non-uniform inflow[J]. Nuclear Engineering and Design, 2017, 320: 65-76. doi: 10.1016/j.nucengdes.2017.04.027
    [2] LONG Y, WANG D Z, YIN J L, et al. Experimental investigation on the unsteady pressure pulsation of reactor coolant pumps with non-uniform inflow[J]. Annals of Nuclear Energy, 2017, 110: 501-510. doi: 10.1016/j.anucene.2017.07.010
    [3] 叶道星,赖喜德,文海罡,等. 核主泵断电惰转停机过渡过程性能特性研究[J]. 动力工程学报,2020, 40(7): 593-599. doi: 10.19805/j.cnki.jcspe.2020.07.011
    [4] 黎义斌,瞿泽晖,郭艳磊,等. 核主泵卡轴事故瞬变过程的水动力特性研究[J]. 核动力工程,2023, 44(2): 177-184. doi: 10.13832/j.jnpe.2023.02.0177
    [5] 黄晨,胡嘉杨,赖旭. 三机式抽水蓄能电站三机运行方式下水泵停泵过渡过程研究[J]. 水电能源科学,2018, 36(11): 148-152.
    [6] 刘金昊,吴建华. 西山供水工程事故停泵水力过渡过程计算及水锤防护[J]. 水电能源科学,2021, 39(7): 113-116.
    [7] 钟伟源. 卡轴事故工况下核主泵流固耦合瞬变特性研究[D]. 镇江: 江苏大学,2018.
    [8] QU Z H, LI Y B, PAN J, et al. Study on pressure surge characteristics of reactor coolant pump shaft stuck accident condition based on wavelet analysis[J]. Nuclear Engineering and Design, 2022, 397: 111921. doi: 10.1016/j.nucengdes.2022.111921
    [9] LI D H, LI Y B, ZHANG F, et al. Study on hydraulic characteristics of reactor coolant pump shutdown transition process based on primary circuit closed system[J]. Frontiers in Energy Research, 2022, 9: 808393. doi: 10.3389/fenrg.2021.808393
    [10] FARHADI K. Transient behaviour of a parallel pump in nuclear research reactors[J]. Progress in Nuclear Energy, 2011, 53(2): 195-199. doi: 10.1016/j.pnucene.2010.05.001
    [11] FARHADI K, BOUSBIA-SALAH A, D’AURIA F. A model for the analysis of pump start-up transients in Tehran research reactor[J]. Progress in Nuclear Energy, 2007, 49(7): 499-510. doi: 10.1016/j.pnucene.2007.07.006
    [12] KIM S G, LEE K B, KIM K Y. Water hammer in the pump-rising pipeline system with an air chamber[J]. Journal of Hydrodynamics, 2014, 26(6): 960-964. doi: 10.1016/S1001-6058(14)60105-0
    [13] TANG J J, LU D G, LIANG J T, et al. Numerical simulation on asymmetrical three-dimensional thermal and hydraulic characteristics of the primary sodium pool under the pump stuck accident in CEFR[J]. Nuclear Science and Engineering, 2021, 195(5): 478-495. doi: 10.1080/00295639.2020.1834314
    [14] BEHROOZI A M, VAGHEFI M. Numerical investigation of water hammer due to transient in parallel pumps[J]. International Journal of Civil Engineering, 2021, 19(12): 1415-1425. doi: 10.1007/s40999-021-00640-w
    [15] LIU Y F, ZHOU J X, GUO Q, et al. 3-D CFD simulation of transients in multiple pump system with some pumps being stopped[J]. Journal of Hydrodynamics, 2021, 33(3): 583-592. doi: 10.1007/s42241-021-0042-8
    [16] 黄伟,张文其,陶文铨,等. 蒸汽发生器下封头/主泵连接处流动特性试验研究[J]. 核动力工程,2004, 23(S1): 38-42.
    [17] 余红星,黄代顺. 秦山核电二期工程设计基准事故水力学载荷分析[J]. 核动力工程,2003, 24(S2): 102-105.
    [18] 李文姬,吕红,张洁. LOCA水力载荷分析软件HLPS的开发与验证[J]. 核动力工程,2021, 42(4): 159-165. doi: 10.13832/j.jnpe.2021.04.0159
  • 加载中
图(15) / 表(3)
计量
  • 文章访问数:  277
  • HTML全文浏览量:  143
  • PDF下载量:  46
  • 被引次数: 0
出版历程
  • 收稿日期:  2023-03-20
  • 修回日期:  2023-11-01
  • 刊出日期:  2024-02-15

目录

    /

    返回文章
    返回