高级检索

留言板

尊敬的读者、作者、审稿人, 关于本刊的投稿、审稿、编辑和出版的任何问题, 您可以本页添加留言。我们将尽快给您答复。谢谢您的支持!

姓名
邮箱
手机号码
标题
留言内容
验证码

西安脉冲反应堆再淹没特性研究

王子铭 傅俊森 肖瑶 田晓艳 苏春磊 李达 顾汉洋

王子铭, 傅俊森, 肖瑶, 田晓艳, 苏春磊, 李达, 顾汉洋. 西安脉冲反应堆再淹没特性研究[J]. 核动力工程, 2024, 45(3): 60-67. doi: 10.13832/j.jnpe.2024.03.0060
引用本文: 王子铭, 傅俊森, 肖瑶, 田晓艳, 苏春磊, 李达, 顾汉洋. 西安脉冲反应堆再淹没特性研究[J]. 核动力工程, 2024, 45(3): 60-67. doi: 10.13832/j.jnpe.2024.03.0060
Wang Ziming, Fu Junsen, Xiao Yao, Tian Xiaoyan, Su Chunlei, Li Da, Gu Hanyang. Study on Characteristics of Xi’an Pulsed Reactor in Reflood Stage[J]. Nuclear Power Engineering, 2024, 45(3): 60-67. doi: 10.13832/j.jnpe.2024.03.0060
Citation: Wang Ziming, Fu Junsen, Xiao Yao, Tian Xiaoyan, Su Chunlei, Li Da, Gu Hanyang. Study on Characteristics of Xi’an Pulsed Reactor in Reflood Stage[J]. Nuclear Power Engineering, 2024, 45(3): 60-67. doi: 10.13832/j.jnpe.2024.03.0060

西安脉冲反应堆再淹没特性研究

doi: 10.13832/j.jnpe.2024.03.0060
基金项目: 国家自然科学基金(12322510,12075150,12275174);上海市青年科技启明星计划(22QA1404500)
详细信息
    作者简介:

    王子铭(1999—),男,硕士研究生,现主要从事反应堆热工水力分析相关工作,E-mail: zimingwang@sjtu.edu.cn

    通讯作者:

    肖 瑶,E-mail: yxiao@sjtu.edu.cn

  • 中图分类号: TL33

Study on Characteristics of Xi’an Pulsed Reactor in Reflood Stage

  • 摘要: 再淹没过程是失水事故重要环节,明确再淹没过程中堆芯瞬态热工特性对破口失水事故安全分析极为关键。本研究基于子通道分析程序CTF,针对西安脉冲反应堆典型大、小破口失水事故中再淹没过程开展了瞬态分析计算。分析中将堆芯依据功率划分为8个通道,获得了骤冷前沿和堆芯温度的时空分布特性,分析了不同位置燃料棒在各高度的包壳与燃料棒中心温度变化规律。研究结果表明,外围燃料棒相较于中心最热棒温度更低且更早被完全冷却;大、小破口失水事故工况下冷却剂均能完全淹没堆芯,使堆芯完全冷却,大破口失水事故工况下因衰变功率更大,堆芯被完全冷却所需时间更长;大破口失水事故工况下包壳失效风险较小,小破口失水事故包壳失效风险相较于大破口失水事故工况更高,大、小破口失水事故工况下均不会发生燃料芯块熔毁。

     

  • 图  1  西安脉冲反应堆堆芯结构和子通道划分示意图

    D1~D5—稳态控制棒;E1—脉冲控制棒;E2、E3—不锈钢棒;I1、I2—跑兔管;A1—中子源;C1~C12—12个位置的燃料棒,C1为最热棒

    Figure  1.  Schematic Diagram of Core Structure and Subchannel Division of Xi'an Pulsed Reactor

    图  2  燃料棒截面示意图

    Figure  2.  Schematic Diagram of Fuel Rod Section

    图  3  初始壁面温度示意图

    Figure  3.  Schematic Diagram of Initial Wall Temperature

    图  4  初始功率因子示意图

    Figure  4.  Schematic Diagram of Initial Power Factor

    图  5  不同破口失水事故工况剩余堆芯功率变化示意图

    Figure  5.  Schematic Diagram of Residual Power Changes under Different Operating Conditions

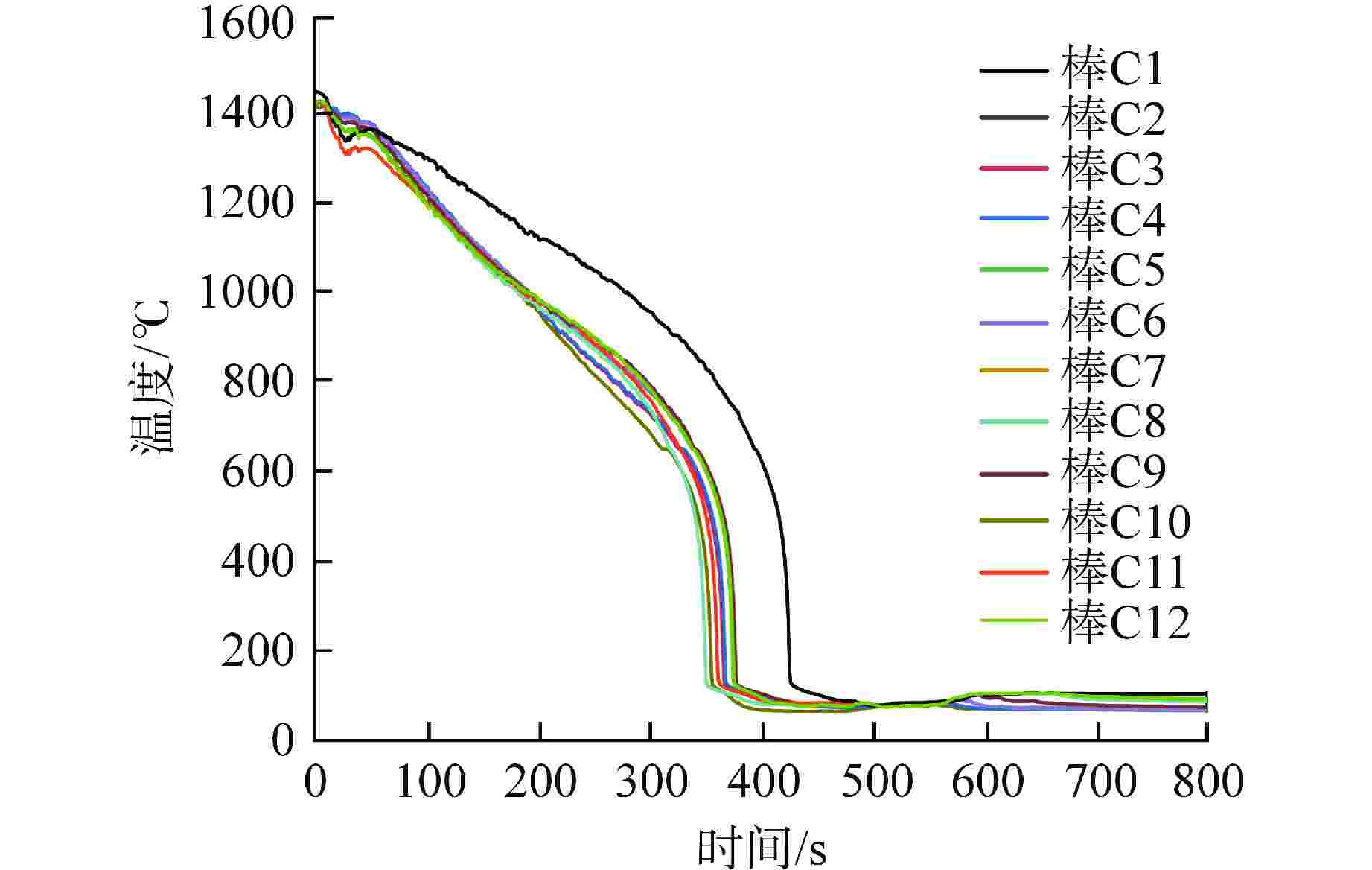
    图  6  大破口失水事故工况下z=0.41 m处不同燃料棒包壳温度对比

    Figure  6.  Comparison of Different Fuel Rod Cladding Temperatures at z=0.41 m under Large Break Condition

    图  7  小破口失水事故工况下z=0.372 m处不同燃料棒包壳温度对比

    Figure  7.  Comparison of Different Fuel Rod Cladding Temperatures at z=0.372 m under Small Break Condition

    图  8  不同破口失水事故工况下骤冷前沿推进曲线

    Figure  8.  Advancement of Quench Front under Different Break Conditions

    图  9  不同破口失水事故工况下最热棒温度峰值

    Figure  9.  Peak Temperature of the Hottest Rod under Different Break Conditions

    图  10  大破口失水事故工况下燃料棒温度瞬态响应曲线

    Figure  10.  Transient Response Curves of Fuel Rod Temperature under Large Break Condition

    图  11  小破口失水事故工况下燃料棒温度瞬态响应曲线

    Figure  11.  Transient Response Curves of Fuel Rod Temperature under Small Break Condition

    图  12  大破口失水事故工况下最热通道中z=0.41 m处气体温度变化

    Figure  12.  Changes in Gas Temperature at z=0.41 m in the Hottest Channel under Large Break Condition

    图  13  小破口失水事故工况下最热通道中z=0.372 m处气体温度变化       

    Figure  13.  Change in Gas Temperature at z=0.372 m in the Hottest Channel under Small Break Condition

    表  1  堆芯几何参数

    Table  1.   Core Geometry Parameters

    参数 数值
    水池筒体内径/m 2.5
    堆芯筒体内径/m 0.694
    燃料棒间距/m 0.043
    燃料棒长度/m 0.71
    活性区长度/m 0.39
    下载: 导出CSV

    表  2  边界条件

    Table  2.   Boundary Conditions

    参数 大破口失水事故 小破口失水事故
    再淹没时间/s 5901 70374
    再淹没压力/MPa 0.101 0.101
    再淹没质量流量/(kg·s−1) 1.67 1.67
    初始气体焓值/(kJ·kg−1) 682 1655
    棒束表面平均
    线功率密度/(kW·m−1)
    7.9 1.7
    入口冷却剂温度/K 298 298
    下载: 导出CSV
  • [1] 杨岐,卜永熙,李达忠,等. 西安脉冲反应堆[J]. 核动力工程,2002, 23(6): 1-7. doi: 10.3969/j.issn.0258-0926.2002.06.001
    [2] 李莹,陈鑫,王金宇,等. 3×3棒束通道内再淹没过程实验研究[C]//中国核科学技术进展报告(第七卷)——中国核学会2021年学术年会论文集第2册(核能动力分卷). 烟台: 中国核学会,2021: 222-226.
    [3] 王宝生,唐秀欢,朱磊,等. XAPR中破口失水事故下堆芯自然循环冷却能力的功能可靠性研究[J]. 原子能科学技术,2019, 53(5): 844-852.
    [4] 王宝生,唐秀欢,沈志远,等. 西安脉冲堆概率安全分析技术要点及分析框架研究[J]. 核动力工程,2018, 39(3): 100-105.
    [5] 景春元,朱继洲,朱广宁,等. 脉冲反应堆失水事故分析[J]. 原子能科学技术,2000, 34(3): 199-204.
    [6] 陈立新,赵柱民,袁建新. 西安脉冲堆热工水力分析与脉冲特性分析[J]. 核动力工程,2006, 27(6): 1-4,17.
    [7] 陈立新,赵柱民,袁建新,等. 西安脉冲堆大破口失水事故分析[J]. 原子能科学技术,2009, 43(8): 678-682. doi: 10.7538/yzk.2009.43.08.0678
    [8] 朱磊,陈立新,赵柱民,等. 西安脉冲反应堆超设计基准事故动态特性分析[J]. 原子能科学技术,2012, 46(S2): 800-806.
    [9] SALKO JR R, AVRAMOVA M, WYSOCKI A, et al. CTF 4.0 theory manual: ORNL/TM-2019/1145[R]. Oak Ridge: Oak Ridge National Laboratory, 2019.
    [10] 杨志林,李师新,徐明. COBRA-TF 程序的特点[J]. 核动力工程,1998, 19(3): 233-237.
    [11] ZUBER N. On the stability of boiling heat transfer[J]. Journal of Fluids Engineering, 1958, 80(3): 711-714.
    [12] YAMANOUCHI A. Effect of core spray cooling in transient state after loss of coolant accident[J]. Journal of Nuclear Science and Technology, 1968, 5(11): 547-558. doi: 10.1080/18811248.1968.9732513
    [13] 张良,袁建新,赵巍,等. 西安脉冲反应堆在非脉冲瞬态工况下的动态特性研究[J]. 核动力工程,2020, 41(5): 1-7.
    [14] 郎雪梅,黄彦平. 管内顶部骤冷过程中骤冷前沿推进速度实验研究[J]. 核科学与工程,1998, 18(2): 109-118.
    [15] 黄彦平,郎雪梅. 骤冷前沿区域传热特性实验研究[J]. 核动力工程,1998, 19(2): 138-143.
    [16] 王金宇,王均,昝元峰,等. 环形通道内再淹没过程骤冷前沿推进速度实验研究[J]. 核动力工程,2018, 39(4): 63-66.
    [17] 李莹,王金宇,陈鑫,等. 圆管通道底部再淹没过程实验研究[J]. 原子能科学技术,2022, 56(6): 1180-1187.
    [18] 王金宇,王均,昝元锋,等. 环形通道内再淹没过程流动传热现象实验研究[J]. 核动力工程,2018, 39(4): 22-27.
    [19] 熊平. 圆柱骤冷沸腾表面热流密度反演及沸腾传热特性研究[D]. 北京: 北京化工大学,2021.
    [20] JIN Y, CHEUNG F B, SHIRVAN K, et al. Numerical investigation of rod bundle thermal–hydraulic behavior during reflood transients using COBRA-TF[J]. Annals of Nuclear Energy, 2020, 148: 107708. doi: 10.1016/j.anucene.2020.107708
  • 加载中
图(13) / 表(2)
计量
  • 文章访问数:  260
  • HTML全文浏览量:  109
  • PDF下载量:  128
  • 被引次数: 0
出版历程
  • 收稿日期:  2023-08-14
  • 修回日期:  2023-10-23
  • 刊出日期:  2024-06-13

目录

    /

    返回文章
    返回