高级检索

留言板

尊敬的读者、作者、审稿人, 关于本刊的投稿、审稿、编辑和出版的任何问题, 您可以本页添加留言。我们将尽快给您答复。谢谢您的支持!

姓名
邮箱
手机号码
标题
留言内容
验证码

19棒束螺旋十字燃料组件临界热流密度实验研究

傅俊森 肖瑶 陈硕 张伟 丛腾龙 顾汉洋

傅俊森, 肖瑶, 陈硕, 张伟, 丛腾龙, 顾汉洋. 19棒束螺旋十字燃料组件临界热流密度实验研究[J]. 核动力工程, 2024, 45(3): 132-138. doi: 10.13832/j.jnpe.2024.03.0132
引用本文: 傅俊森, 肖瑶, 陈硕, 张伟, 丛腾龙, 顾汉洋. 19棒束螺旋十字燃料组件临界热流密度实验研究[J]. 核动力工程, 2024, 45(3): 132-138. doi: 10.13832/j.jnpe.2024.03.0132
Fu Junsen, Xiao Yao, Chen Shuo, Zhang Wei, Cong Tenglong, Gu Hanyang. Experiment Study on Critical Heat Flux of 19-Pin Helical Cruciform Fuel Assembly[J]. Nuclear Power Engineering, 2024, 45(3): 132-138. doi: 10.13832/j.jnpe.2024.03.0132
Citation: Fu Junsen, Xiao Yao, Chen Shuo, Zhang Wei, Cong Tenglong, Gu Hanyang. Experiment Study on Critical Heat Flux of 19-Pin Helical Cruciform Fuel Assembly[J]. Nuclear Power Engineering, 2024, 45(3): 132-138. doi: 10.13832/j.jnpe.2024.03.0132

19棒束螺旋十字燃料组件临界热流密度实验研究

doi: 10.13832/j.jnpe.2024.03.0132
基金项目: 国家自然科学基金 (12135008,12322510,12075150);上海启明星项目(22QA1404500)
详细信息
    作者简介:

    傅俊森(1996—),男,博士研究生,现主要从事反应堆热工水力与安全分析研究,E-mail: fujunsen@sjtu.edu.cn

    通讯作者:

    肖 瑶,E-mail:yxiao@sjtu.edu.cn

  • 中图分类号: TL334

Experiment Study on Critical Heat Flux of 19-Pin Helical Cruciform Fuel Assembly

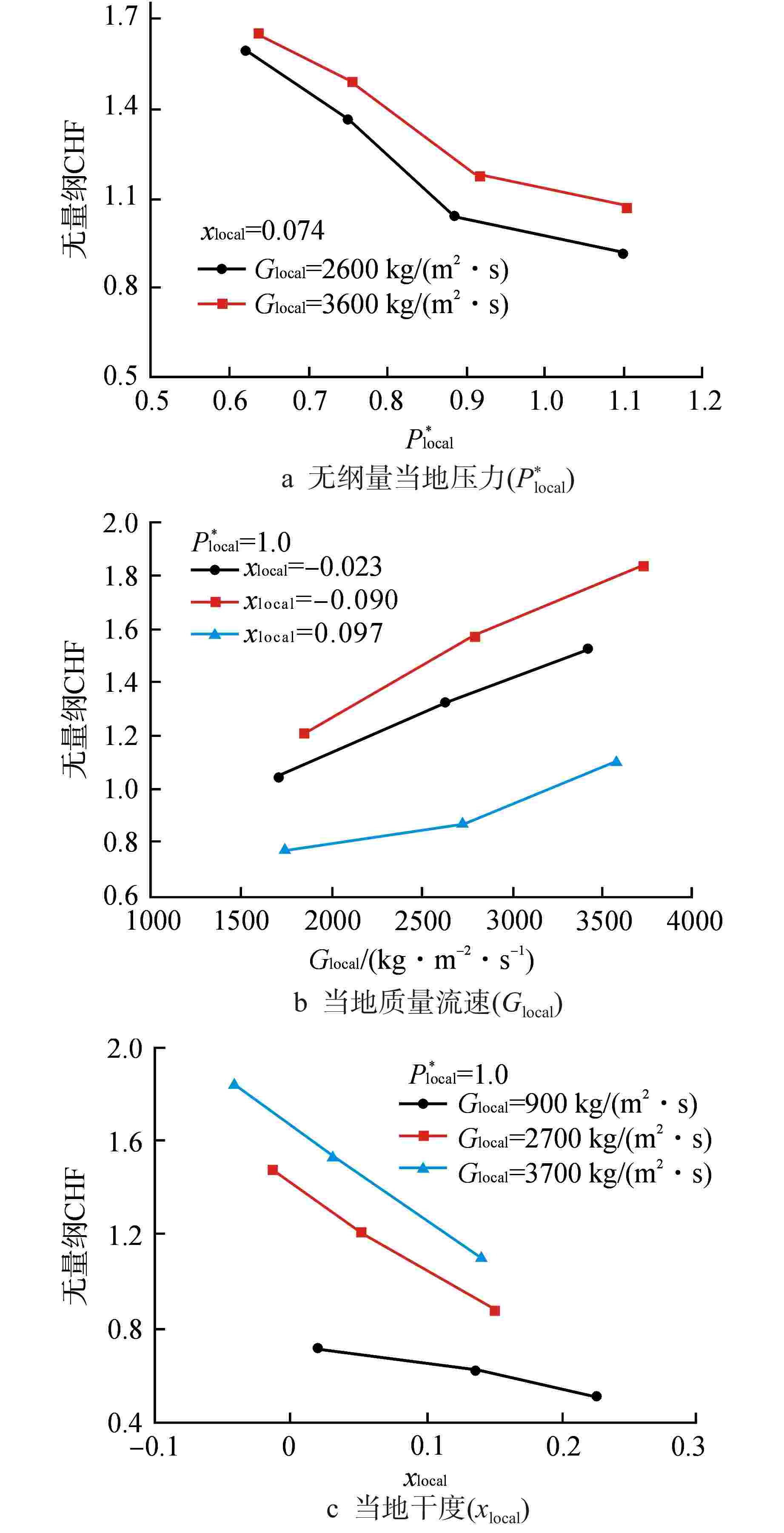
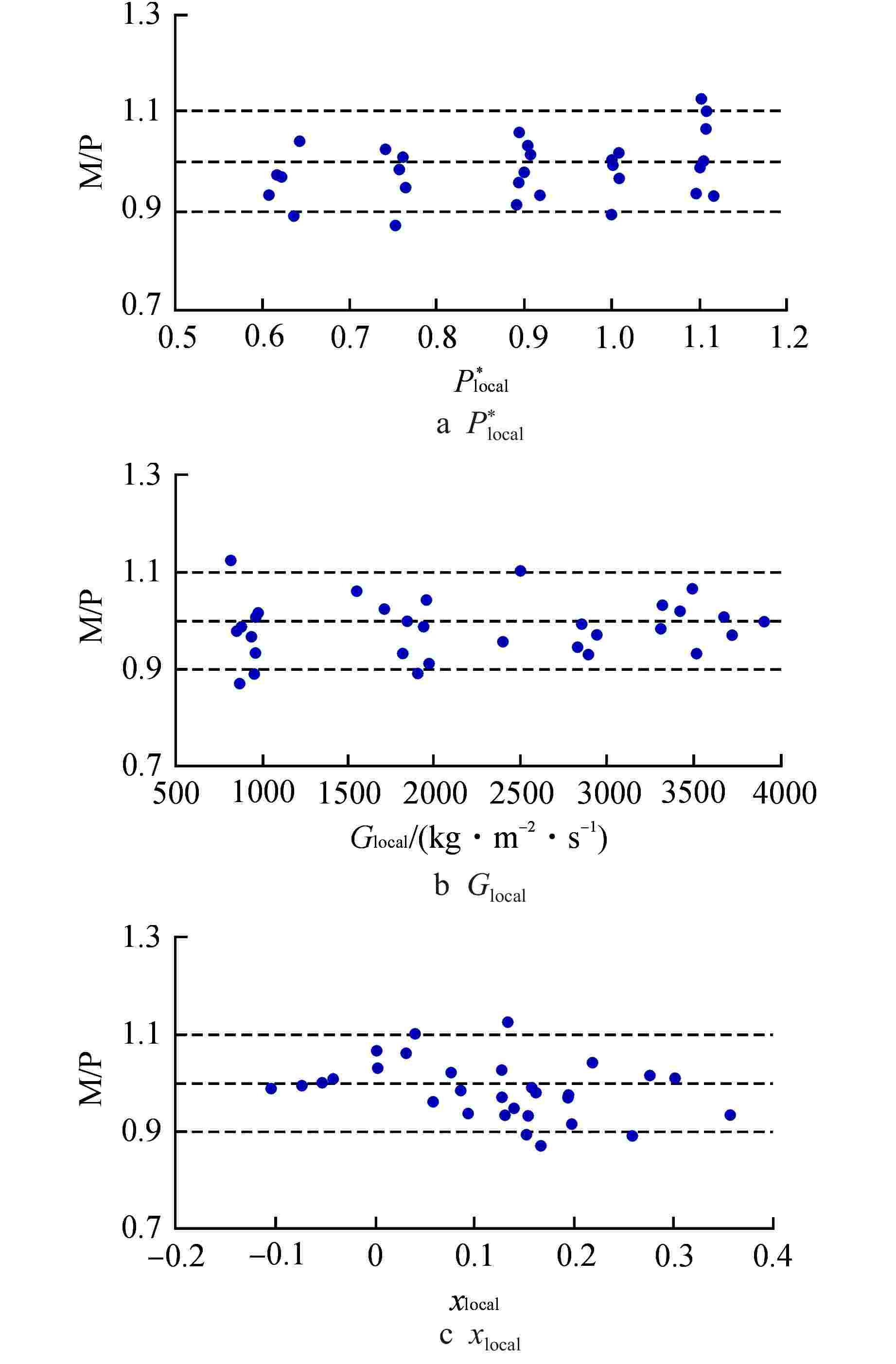
  • 摘要: 燃料组件是反应堆的重要组成部件,临界热流密度是决定燃料组件性能的最关键参数之一。参考上海交通大学热工水力实验室的螺旋十字燃料元件参数,设计了19棒束螺旋十字燃料组件并开展临界热流密度特性实验研究,建立了一套适用于均匀发热全长螺旋燃料组件棒束临界热流密度测量方法,获得了螺旋燃料组件临界热流密度数据库,并对实验结果进行了分析。结果表明:临界功率随入口温度升高而线性降低,随着压力和干度的增大而减小,随质量流速的增大而增大。引入周向不均匀因子,建立了螺旋燃料临界热流密度预测模型,实验值(M)/预测值(P)数据的统计分布呈现正态分布,且均匀分布在1附近,证明了关系式的可靠性和准确性。所用实验技术和模型开发方法具有通用性,可应用于同类螺旋燃料组件临界热流密度特性研究。

     

  • 图  1  大型高温高压水实验回路系统图

    VF—文丘里流量计

    Figure  1.  System Diagram of Large Scale Facility for High Pressure and Temperature Experiments

    图  2  棒束截面示意图

    Figure  2.  Rod Bundle Cross Section

    图  3  螺旋十字棒束结构及温度测点位置

    Figure  3.  Structure of Rod Bundle and Temperature Measuring Point

    图  4  典型的临界实验过程数据曲线

    Figure  4.  Typical Curves of CHF Process

    图  5  CHF实验无量纲临界功率随入口温度的变化

    Figure  5.  Variation of Nondimensional Critical Power with Inlet Temperature in CHF Experiments

    图  6  当地热工参数对CHF的影响

    Figure  6.  Effect of Local Thermal Parameters on CHF

    图  7  螺旋燃料CHF实验M/P的统计分布

    Figure  7.  Distribution Statistics of M/P in Helical Fuel CHF Experiments

    图  8  M/P随不同热工参数的变化

    Figure  8.  Variation of M/P with Different Thermal Parameters

    表  1  重复性实验验证结果

    Table  1.   Verification Results of Repeatability Test

    参数 参数值 相对偏差/%
    重复0 重复1
    无量纲系统压力P* 1.106 1.111 −0.45
    入口温度Tin/℃ 244.89 245.95 −0.43
    质量流速G/(kg·m–2·s−1) 2999.46 3001.65 −0.073
    无量纲临界功率$ P_{{\text{cr}}}^* $ 1.28 1.29 −0.78
    下载: 导出CSV
  • [1] 宋丹戎,李庆,秦冬,等. “玲龙一号”反应堆研发关键技术——堆芯设计与安全设计[J]. 核动力工程,2021, 42(4): 1-5. doi: 10.13832/j.jnpe.2021.04.0001
    [2] BOL’SHAKOV V V, BASHKIRTSEV S M, KOBZAR’ L L, et al. Experimental study of burnout in channels with twisted fuel rods[J]. Thermal Engineering, 2007, 54(5): 386-389. doi: 10.1134/S0040601507050096
    [3] SHIRVAN K. Numerical investigation of the boiling crisis for helical cruciform-shaped rods at high pressures[J]. International Journal of Multiphase Flow, 2016, 83: 51-61. doi: 10.1016/j.ijmultiphaseflow.2016.03.014
    [4] CONG T L, XIAO Y, WANG B C, et al. Numerical study on the boiling heat transfer and critical heat flux in a simplified fuel assembly with 2×2 helical cruciform rods[J]. Progress in Nuclear Energy, 2022, 145: 104111. doi: 10.1016/j.pnucene.2021.104111
    [5] FU J S, XIAO Y, LI J L, et al. Development of a refined helical fuel mixing model and application to a helical fuel rod bundle[J]. Science China Technological Sciences, 2023, 66(2): 586-598. doi: 10.1007/s11431-022-2278-2
    [6] XIAO Y, FU J S, ZHANG Q, et al. Development of a flow sweeping mixing model for helical fuel rod bundles[J]. Annals of Nuclear Energy, 2021, 160: 108428. doi: 10.1016/j.anucene.2021.108428
    [7] CONG T L, ZHANG Q, ZHU J Z, et al. Transverse mixing characteristics of single-phase flow in the helical cruciform fuel assembly[J]. Annals of Nuclear Energy, 2023, 180: 109427. doi: 10.1016/j.anucene.2022.109427
    [8] CONG T L, ZHANG R, WANG B C, et al. Single-phase flow in helical cruciform fuel assembly with conjugate heat transfer[J]. Progress in Nuclear Energy, 2022, 147: 104199. doi: 10.1016/j.pnucene.2022.104199
    [9] ZHANG Q, LIU L, XIAO Y, et al. Experimental study on the transverse mixing of 5×5 helical cruciform fuel assembly by wire mesh sensor[J]. Annals of Nuclear Energy, 2021, 164: 108582. doi: 10.1016/j.anucene.2021.108582
    [10] 陈硕,郭明,马岩,等. 5×5全长棒束组件临界热流密度验证试验[C]. 重庆: 第一届全国核反应堆热工流体力学学术年会暨中核核反应堆热工水力技术重点实验室学术年会, 2021.
    [11] ZHANG C, SONG Q F, GUO H, et al. Reactivity control optimization of boron-free small modular pressurized water reactor with helical-cruciform metallic fuel[J]. Nuclear Engineering and Design, 2023, 414: 112593. doi: 10.1016/j.nucengdes.2023.112593
    [12] PARK H Y, KIM K H, PARK E J, et al. Verification of omega-2 CHF loop reliability via benchmarking chf test[C]. Jeju Island: International Congress on Advances in Nuclear Power Plants, ICAPP 2013, 2013.
    [13] 张玉相,席炎炎,庞铮铮,等. CHF关系式开发与DNBR限值确定方法研究[J]. 核动力工程,2016, 37(5): 130-134. doi: 10.13832/j.jnpe.2016.05.0130
    [14] FRAMATOME. FC-FRAMATOME critical heat flux collation for AFA-2G and AFA-3G fuel assemblies: topical report EPD/DC-454[R]. Paris: Areva, 2000.
    [15] 刘伟,彭诗念,江光明,等. 基于最小DNBR点法和BO点法的棒束CHF预测研究[J]. 核动力工程,2018, 39(5): 172-175. doi: 10.13832/j.jnpe.2018.05.0172
  • 加载中
图(8) / 表(1)
计量
  • 文章访问数:  403
  • HTML全文浏览量:  187
  • PDF下载量:  146
  • 被引次数: 0
出版历程
  • 收稿日期:  2023-07-17
  • 修回日期:  2023-12-15
  • 刊出日期:  2024-06-13

目录

    /

    返回文章
    返回