高级检索

留言板

尊敬的读者、作者、审稿人, 关于本刊的投稿、审稿、编辑和出版的任何问题, 您可以本页添加留言。我们将尽快给您答复。谢谢您的支持!

姓名
邮箱
手机号码
标题
留言内容
验证码

浮动核电站OTSG蒸汽压力线性自抗扰串级控制设计与验证

张涛 石波 吴治江 郭伟

张涛, 石波, 吴治江, 郭伟. 浮动核电站OTSG蒸汽压力线性自抗扰串级控制设计与验证[J]. 核动力工程, 2024, 45(3): 186-192. doi: 10.13832/j.jnpe.2024.03.0186
引用本文: 张涛, 石波, 吴治江, 郭伟. 浮动核电站OTSG蒸汽压力线性自抗扰串级控制设计与验证[J]. 核动力工程, 2024, 45(3): 186-192. doi: 10.13832/j.jnpe.2024.03.0186
Zhang Tao, Shi Bo, Wu Zhijiang, Guo Wei. Design and Verification of OTSG Steam Pressure Linear Active Disturbance Rejection Cascade Control for Floating Nuclear Power Plant[J]. Nuclear Power Engineering, 2024, 45(3): 186-192. doi: 10.13832/j.jnpe.2024.03.0186
Citation: Zhang Tao, Shi Bo, Wu Zhijiang, Guo Wei. Design and Verification of OTSG Steam Pressure Linear Active Disturbance Rejection Cascade Control for Floating Nuclear Power Plant[J]. Nuclear Power Engineering, 2024, 45(3): 186-192. doi: 10.13832/j.jnpe.2024.03.0186

浮动核电站OTSG蒸汽压力线性自抗扰串级控制设计与验证

doi: 10.13832/j.jnpe.2024.03.0186
详细信息
    作者简介:

    张 涛(1995—),男,工程师,现主要从事新型堆控制系统设计、先进控制技术应用等工作,E-mail: 2336483465@qq.com

    通讯作者:

    石 波,E-mail: 85811281@qq.com

  • 中图分类号: TL353.13;TM623

Design and Verification of OTSG Steam Pressure Linear Active Disturbance Rejection Cascade Control for Floating Nuclear Power Plant

  • 摘要: 浮动核电站的直流蒸汽发生器(OTSG)汽水容积和蓄热量较小,在存在外部扰动及负荷变化时,蒸汽压力波动较大,基于局部模型建立的单一工况水平下的比例-积分-微分(PID)控制器难以实现全工况范围内的良好控制。为此,基于系统辨识方法得到OTSG在不同工况下的传递函数模型,采用梯形隶属度函数进行加权,建立适用于OTSG蒸汽压力控制的全工况模糊模型,并将线性自抗扰控制器(LADRC)应用于OTSG的外回路,设计LADRC串级控制系统。结合频域分析方法给出OTSG稳态运行和变工况运行的LADRC工程参数调整规律,在此基础上进行参数整定,并与PID串级控制系统进行性能对比。仿真结果表明,相比PID串级控制,LADRC串级控制的响应速度更快、控制误差更小、抗干扰性和鲁棒性更强。

     

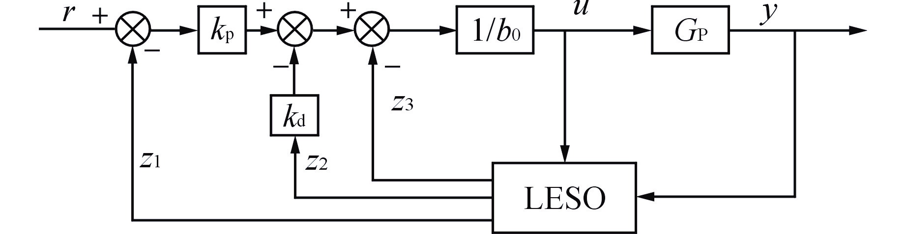
  • 图  1  二阶线性自抗扰控制系统结构图

    r—系统设定值;y—系统输出值;u—控制量;z1y的估计值;z2y微分的估计值;z3—系统扰动的估计值;b0—高频增益;LESO—线性扩张状态观测器;GP—广义被控对象;kp—线性反馈比例系数;kd—为线性反馈微分系数

    Figure  1.  Second Order Linear Active Disturbance Rejection Control Structure Diagram

    图  2  LADRC串级控制系统结构

    δTi—一次侧进口温度扰动量;PM—压力测量反馈;FM—流量测量反馈;fq—阀门全开时的蒸汽流量与满负荷时的蒸汽流量修正系数;G1—阀门开度与二次侧进口相对给水流量的传递函数;G2—二次侧进口相对给水流量与二次侧蒸汽压力的传递函数;G3—一次侧进口温度与二次侧蒸汽压力的传递函数;G4—相对蒸汽流量与二次侧蒸汽压力的传递函数

    Figure  2.  Structure of LADRC Cascade Control System

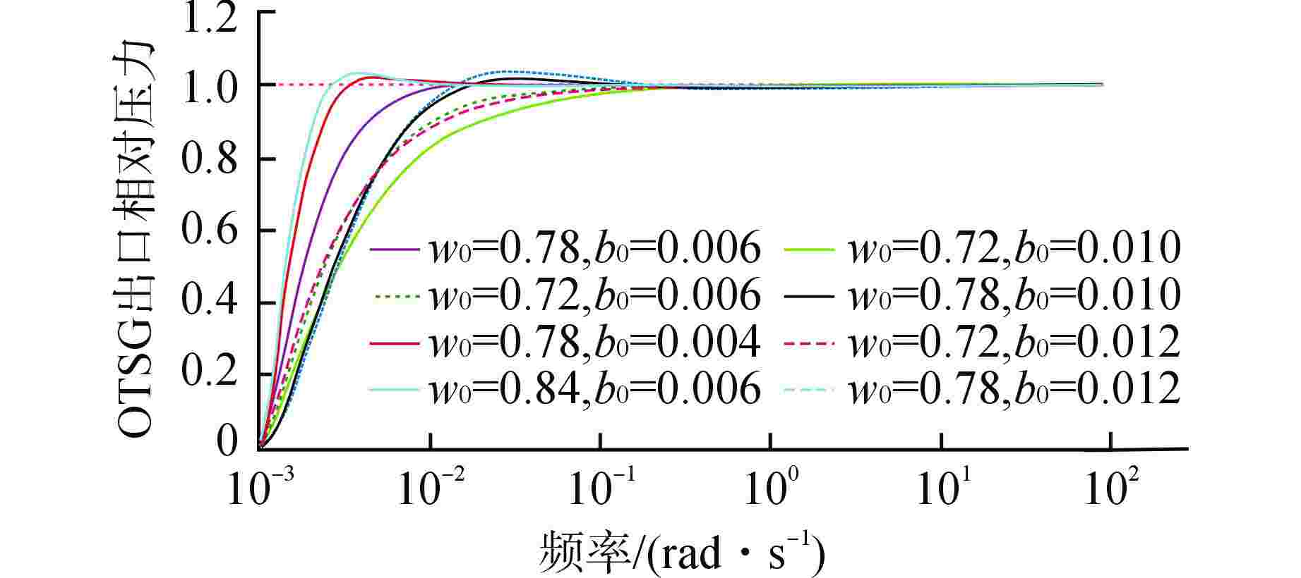
    图  3  G1w0变化的闭环伯德图

    Figure  3.  Closed-loop Bode Diagram of G1 Varying with w0

    图  4  G1b0变化的闭环伯德图

    Figure  4.  Closed-loop Bode Diagram of G1 Varying with b0

    图  5  不同参数下LADRC串级控制性能时域对比

    Figure  5.  Time Domain Comparison of LADRC Control Performance with Different Parameters

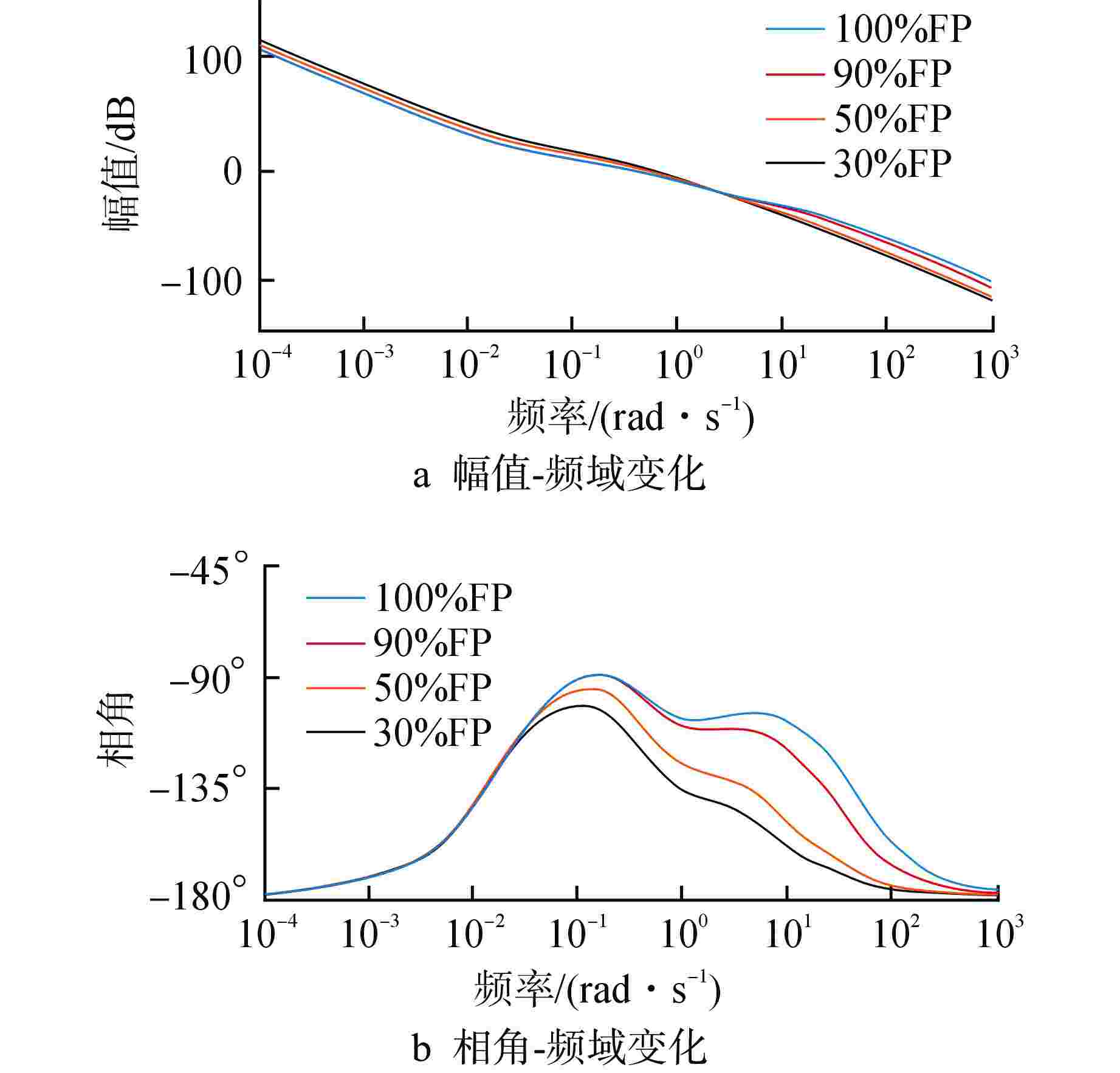
    图  6  100%FP负荷稳态工况下的闭环伯德图对比

    Figure  6.  Closed-loop Bode Diagram Comparison under 100%FP Load Steady-state Condition

    图  7  降负荷工况下的开环伯德图

    Figure  7.  Open-loop Bode Diagram under Load Reduction

    图  8  相对压力阶跃下降10%的时域响应结果对比

    Figure  8.  Comparison of Time Domain Response Results of Relative Pressure 10% Step Drop

    图  9  相对蒸汽流量10%阶跃扰动的响应结果对比

    Figure  9.  Comparison of Response Results of 10% Step Disturbance of Relative Steam Flow

    图  10  设定值跟踪下的蒙特卡洛实验结果对比

    Figure  10.  Comparison of Monte Carlo Experiment Results under Set Value Tracking

    图  11  扰动作用下的蒙特卡洛实验结果对比

    Figure  11.  Comparison of Monte Carlo Experiment Results under Perturbation

    表  1  典型工况下OTSG传递函数模型

    Table  1.   OTSG Transfer Function Model under Typical Conditions

    负荷/
    %FP
    OTSG系统传递函数模型
    G2 G3 G4
    100 $ \dfrac{{0.14s + 0.16}}{{{s^2} + 31.06s}}{{\text{e}}^{ - 1.1s}} $ $ \dfrac{{0.02s + 0.005}}{{{s^2} + 0.54s + 0.065}}{{\text{e}}^{ - 0.8s}} $ $ - \dfrac{{0.051s + 0.0051}}{{{s^2} + 1.23s}}{{\text{e}}^{ - 0.6s}} $
    90 $ \dfrac{{0.08s + 0.06}}{{{s^2} + 14.47s}}{{\text{e}}^{ - 1.1s}} $ $ \dfrac{{0.018s + 0.002}}{{{s^2} + 0.35s + 0.023}}{{\text{e}}^{ - 0.8s}} $ $ - \dfrac{{0.048s + 0.0044}}{{{s^2} + 1.01s}}{{\text{e}}^{ - 0.6s}} $
    50 $ \dfrac{{0.03s + 0.03}}{{{s^2} + 4.57s}}{{\text{e}}^{ - 1.0s}} $ $ \dfrac{{0.0002s + 0.14}}{{{s^2} + 10.07s + 2.031}}{{\text{e}}^{ - 0.8s}} $ $ - \dfrac{{0.045s + 0.0037}}{{{s^2} + 0.53s}}{{\text{e}}^{ - 0.6s}} $
    30 $ \dfrac{{0.01s + 0.006}}{{{s^2} + 0.17s}}{{\text{e}}^{ - 0.9s}} $ $ \dfrac{{0.0072s + 0.022}}{{{s^2} + 2.03s + 0.326}}{{\text{e}}^{ - 0.8s}} $ $ - \dfrac{{0.044s + 0.0038}}{{{s^2} + 0.34s}}{{\text{e}}^{ - 0.5s}} $
    下载: 导出CSV
  • [1] 许余,皇甫泽玉,胥建群,等. 直流蒸汽发生器建模与仿真研究[J]. 核动力工程,2021, 42(1): 154-160.
    [2] QIAN H, ZOU M Y. Design of digital nuclear power small reactor once-through steam generator control system[J]. Nuclear Engineering and Technology, 2022, 54(7): 2435-2443. doi: 10.1016/j.net.2022.01.015
    [3] LI C, YU R, YU W M, et al. Pressure control of Once-through steam generator using Proximal policy optimization algorithm[J]. Annals of Nuclear Energy, 2022, 175: 109232. doi: 10.1016/j.anucene.2022.109232
    [4] 成守宇,李程,彭敏俊,等. 基于人工免疫的直流蒸汽发生器压力控制研究[J]. 核动力工程,2015, 36(3): 62-65.
    [5] LI C, YU R, YU W M, et al. Fault-tolerant control system for once-through steam generator based on reinforcement learning algorithm[J]. Nuclear Engineering and Technology, 2022, 54(9): 3283-3292.
    [6] WU S F, LI Z H, WANG P F, et al. A three-region movable-boundary helical coil once-through steam generator model for dynamic simulation and controller design[J]. Nuclear Engineering and Technology, 2023, 55(2): 460-474. doi: 10.1016/j.net.2022.10.005
    [7] 祁鹏展. Levy系统传递函数辨识算法的硬件实现[D]. 南京: 南京大学,2018.
    [8] 曾文杰,姜庆丰,谢金森,等. 基于模糊多模型的堆芯功率控制[J]. 原子能科学技术,2020, 54(3): 464-469. doi: 10.7538/yzk.2019.youxian.0254
    [9] 韩京清. 自抗扰控制器及其应用[J]. 控制与决策,1998, 13(1): 19-23. doi: 10.3321/j.issn:1001-0920.1998.01.005
    [10] 黄宇,张伟婷,金秀章,等. SCR脱硝系统的线性自抗扰串级控制研究[J]. 中国电机工程学报,2018, 38(18): 5518-5526.
    [11] SONG J, SU J C, HU Y L, et al. Stability and performance comparison analysis for linear active disturbance rejection control–based system[J]. Transactions of the Institute of Measurement and Control, 2022, 44(10): 2037-2048. doi: 10.1177/01423312211065918
    [12] WAN J S, XIE J Y, WANG P F, et al. Control system design for the once-through steam generator of lead–bismuth cooled reactor based on classical control theory[J]. Annals of Nuclear Energy, 2022, 175: 109214.
    [13] MIYANI P B, SANT A V. Bode diagram based control system design of three phase grid tied photovoltaic systems with Quasi-Z source inverter[J]. Materials Today: Proceedings, 2022, 62: 7248-7254.
    [14] ZHANG Q B, GAN D Q, HUANG W, et al. Power system small-disturbance stability analysis and control design: a characteristic locus method[J]. International Journal of Electrical Power & Energy Systems, 2023, 148: 108998.
  • 加载中
图(11) / 表(1)
计量
  • 文章访问数:  292
  • HTML全文浏览量:  108
  • PDF下载量:  138
  • 被引次数: 0
出版历程
  • 收稿日期:  2023-07-25
  • 修回日期:  2023-11-22
  • 刊出日期:  2024-06-13

目录

    /

    返回文章
    返回