高级检索

留言板

尊敬的读者、作者、审稿人, 关于本刊的投稿、审稿、编辑和出版的任何问题, 您可以本页添加留言。我们将尽快给您答复。谢谢您的支持!

姓名
邮箱
手机号码
标题
留言内容
验证码

堆内构件正方形布置开圆孔平板结构辐照效应温升半解析解

林炳炽 徐晓 孔小飞 刘攀 金挺 聂照宇 鲁治诚 姚博维

林炳炽, 徐晓, 孔小飞, 刘攀, 金挺, 聂照宇, 鲁治诚, 姚博维. 堆内构件正方形布置开圆孔平板结构辐照效应温升半解析解[J]. 核动力工程, 2024, 45(4): 96-102. doi: 10.13832/j.jnpe.2024.04.0096
引用本文: 林炳炽, 徐晓, 孔小飞, 刘攀, 金挺, 聂照宇, 鲁治诚, 姚博维. 堆内构件正方形布置开圆孔平板结构辐照效应温升半解析解[J]. 核动力工程, 2024, 45(4): 96-102. doi: 10.13832/j.jnpe.2024.04.0096
Lin Bingchi, Xu Xiao, Kong Xiaofei, Liu Pan, Jin Ting, Nie Zhaoyu, Lu Zhicheng, Yao Bowei. Semi-Analytical Solution of Temperature Rise Caused by Irradiation Effect for Perforated Plates with Square Penetration Patterns in Reactor Vessel Internals[J]. Nuclear Power Engineering, 2024, 45(4): 96-102. doi: 10.13832/j.jnpe.2024.04.0096
Citation: Lin Bingchi, Xu Xiao, Kong Xiaofei, Liu Pan, Jin Ting, Nie Zhaoyu, Lu Zhicheng, Yao Bowei. Semi-Analytical Solution of Temperature Rise Caused by Irradiation Effect for Perforated Plates with Square Penetration Patterns in Reactor Vessel Internals[J]. Nuclear Power Engineering, 2024, 45(4): 96-102. doi: 10.13832/j.jnpe.2024.04.0096

堆内构件正方形布置开圆孔平板结构辐照效应温升半解析解

doi: 10.13832/j.jnpe.2024.04.0096
详细信息
    作者简介:

    林炳炽(1992—),男,工程师,硕士研究生,现从事核岛设备力学分析研究,E-mail: 1498278415@qq.com

  • 中图分类号: TL351+.1

Semi-Analytical Solution of Temperature Rise Caused by Irradiation Effect for Perforated Plates with Square Penetration Patterns in Reactor Vessel Internals

  • 摘要: 压水堆堆内构件中存在较厚的多孔板结构,其辐照效应带来的温升比较显著。由于结构的复杂性,其温升一般通过有限元方法计算得到。针对堆内构件正方形布置开圆孔平板结构,本文采用半解析方法计算其在辐照效应下的最大温升,得到了该结构的温升计算公式,并将其计算结果与有限元结果进行对比,结果表明:当γ释热率峰值的径向范围大于4倍孔心间距时,公式计算的最大温升与有限元结果偏差在2%以内,且公式计算的最大温升所在位置厚度方向的温度分布与有限元结果比较吻合。

     

  • 图  1  正方形布置开圆孔平板结构示意

    Figure  1.  Perforated Plate with Square Penetration Patterns

    图  2  正方形圆孔结构和圆环结构示意图

    Do—圆环外直径

    Figure  2.  Square Structure of Circular Aperture and Ring Structure  

    图  3  边长对外径的影响

    Figure  3.  Effect of Square Side Length on Outer Diameter

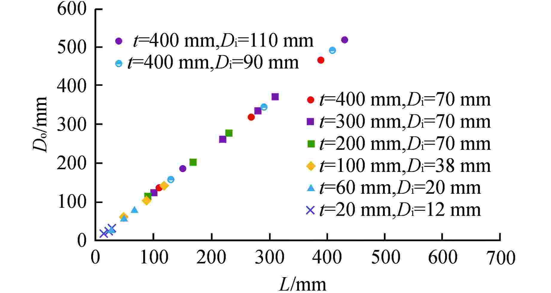
    图  4  厚度对外径的影响

    Figure  4.  Effect of Plate Thickness on Outer Diameter

    图  5  内径对外径的影响

    Figure  5.  Effect of Inner Diameter on Outer Diameter

    图  6  导热系数对外径的影响

    Figure  6.  Effect of Thermal Conductivity on Outer Diameter

    图  7  板表面的γ释热率对外径的影响

    Figure  7.  Effect of γ Generation Heat on Outer Diameter

    图  8  衰减系数对外径的影响

    Figure  8.  Effect of γ Attenuation Coefficient on Outer Diameter

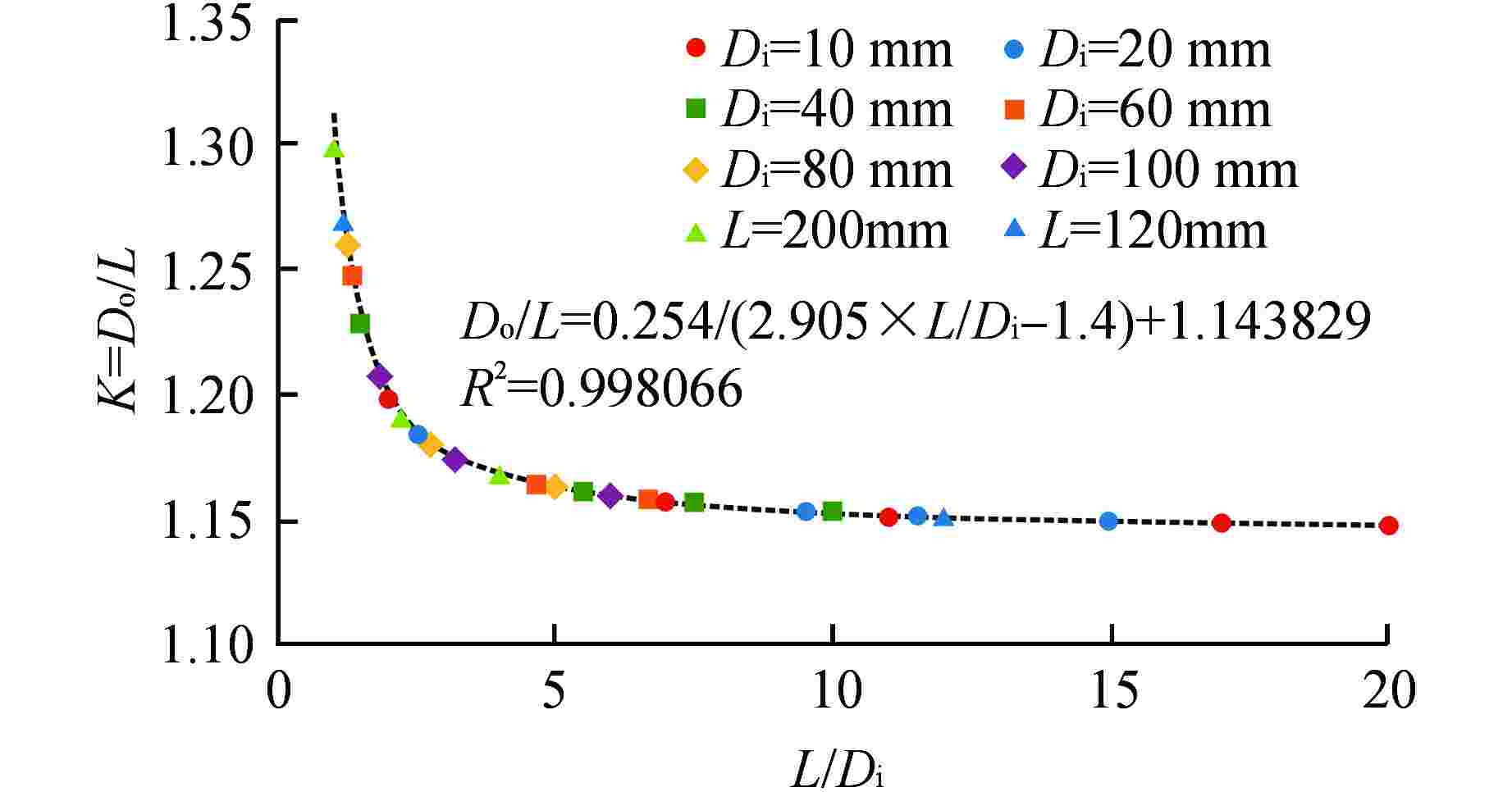
    图  9  KL/Di的数据分布

    Figure  9.  Relation Curve of K and L/Di

    图  10  不同的L/DiKt/L的关系

    Figure  10.  Relation Curve of K and t/L with Different L/Di

    图  11  C1L/Di的关系

    Figure  11.  Relation Curve of C1 and L/Di

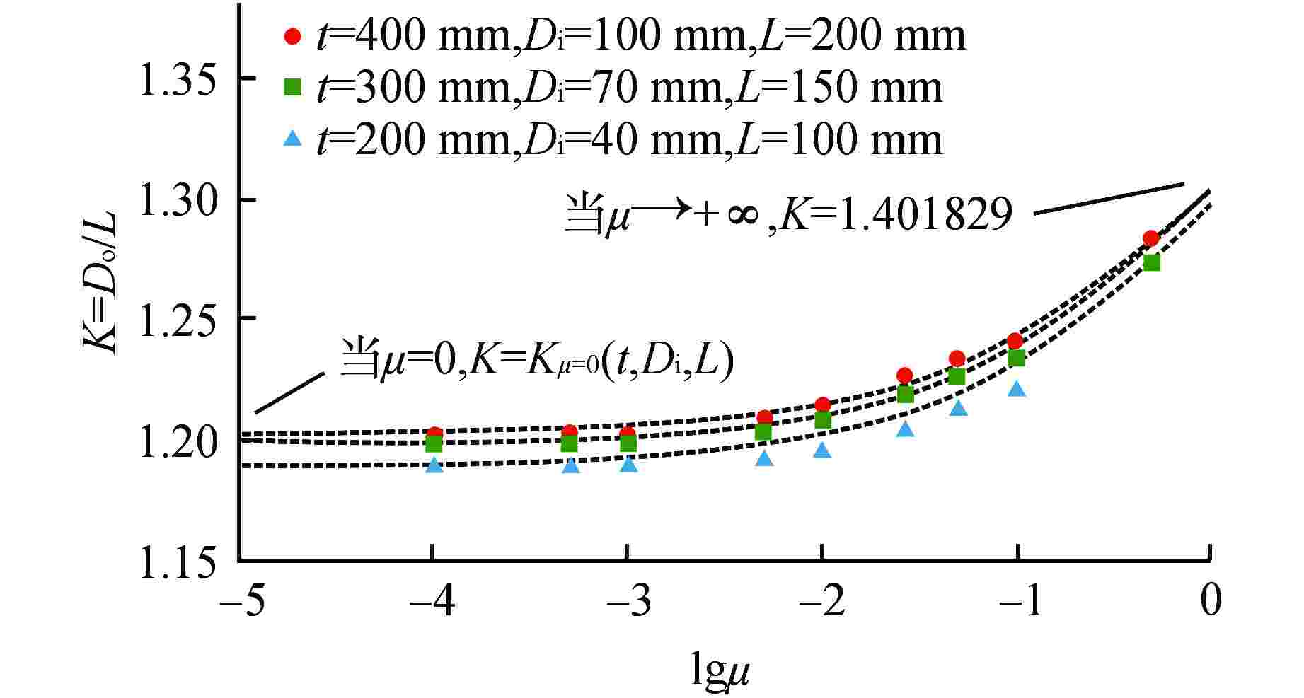
    图  12  K与lgμ的关系

    Figure  12.  Relation Curve of K and lgμ

    图  13  有限元模型示意图

    Figure  13.  Finite Element Models

    图  14  不同算例的厚度方向温度分布结果

    Figure  14.  Distribution of Temperature Rise Along Thickness for Different Cases

    表  1  算例列表

    Table  1.   List of Calculating Cases

    算例 P/mm h/mm t/mm μ/mm−1 Do式(18)/mm
    1 100 20 50 0.027 129.488
    2 125 55 150 0.027 154.782
    3 150 80 250 0.027 183.197
    4 140 70 350 0.027 171.177
    5 140 70 450 0.027 171.133
    6 140 70 450 0.100 173.960
    7 140 70 450 0.050 172.269
    8 140 70 450 0.010 169.887
    9 140 70 450 0.005 169.333
    10 140 70 450 0.001 168.643
    下载: 导出CSV

    表  2  算例最大温升结果

    Table  2.   Maximum Temperature Rise for Each Calculating Case

    算例 最大温升/℃
    多孔板1/8
    有限元模型
    正方形圆孔结构
    1/8有限元模型
    圆环结构轴
    对称有限元模型
    式(2)
    一阶单元 二阶单元 一阶单元 二阶单元 一阶单元 二阶单元
    1 36.32 35.55 35.50 35.40 36.08 36.44 36.08
    2 83.63 83.70 83.30 83.27 84.34 84.34 84.33
    3 115.14 115.46 115.06 115.04 115.42 115.41 115.41
    4 103.05 103.22 102.82 102.79 102.84 102.84 102.83
    5 103.09 103.22 102.82 102.79 102.80 102.79 102.78
    6 18.97 18.94 18.93 18.91 18.98 18.97 18.97
    7 50.73 50.71 50.58 50.55 50.58 50.57 50.57
    8 228.97 230.02 228.71 228.65 229.47 229.48 229.48
    9 322.37 324.54 322.31 322.30 324.39 324.41 324.41
    10 471.56 476.01 472.07 472.02 476.62 476.66 476.66
    下载: 导出CSV

    表  3  算例结果相对偏差

    Table  3.   Relative Variation for Each Calculating Case

    算例 相对偏差/%
    一阶单元相对二阶
    单元有限元结果
    正方形圆孔结构相
    对多孔板有限元结果
    圆环结构相对正方
    形圆孔结构有限元结果
    式(2)相对圆环
    结构有限元结果
    式(2)相对多孔
    板有限元结果
    多孔板 正方形圆孔结构 圆环结构 一阶单元 二阶单元 一阶单元 二阶单元 一阶单元 二阶单元 一阶单元 二阶单元
    1 2.2 0.3 −1.0 −2.2 −0.4 1.6 2.9 0 −1.0 −0.6 1.5
    2 −0.1 0 0 −0.4 −0.5 1.2 1.3 0 0 0.8 0.8
    3 −0.3 0 0 −0.1 −0.4 0.3 0.3 0 0 0.2 0
    4 −0.2 0 0 −0.2 −0.4 0 0 0 0 −0.2 −0.4
    5 −0.1 0 0 −0.3 −0.4 0 0 0 0 −0.3 −0.4
    6 0.1 0.1 0.1 −0.2 −0.2 0.3 0.3 0 0 0 0.1
    7 0 0 0 −0.3 −0.3 0 0 0 0 −0.3 −0.3
    8 −0.5 0 0 −0.1 −0.6 0.3 0.4 0 0 0.2 −0.2
    9 −0.7 0 0 0 −0.7 0.6 0.7 0 0 0.6 0
    10 −0.9 0 0 0.1 −0.8 1.0 1.0 0 0 1.1 0.1
      注:A相对B的偏差=(AB)/B×100%
    下载: 导出CSV
  • [1] 李浩,李燕,何培峰,等. 华龙一号堆内构件设计方法研究[J]. 核动力工程,2022, 43(S2): 182-188.
    [2] 束德林. 工程材料力学性能[M]. 第二版. 北京: 机械工业出版社,2007: 177.
    [3] 梁昆淼. 数学物理方法[M]. 第四版. 北京: 高等教育出版社,2010: 143-178, 263-302.
    [4] 凌备备,杨延洲. 核反应堆工程原理[M]. 北京: 原子能出版社,1982: 219.
    [5] 刘玉坤,邢立国. 基于TensorFlow的线性回归模拟及Python实现[J]. 现代计算机,2018(29): 92-94. doi: 10.3969/j.issn.1007-1423.2018.29.020
    [6] 陈豪,吴健. 基于神经网络的正弦波函数拟合实现研究[J]. 现代信息科技,2019, 3(21): 4-6. doi: 10.3969/j.issn.2096-4706.2019.21.003
  • 加载中
图(14) / 表(3)
计量
  • 文章访问数:  231
  • HTML全文浏览量:  75
  • PDF下载量:  21
  • 被引次数: 0
出版历程
  • 收稿日期:  2023-08-15
  • 修回日期:  2024-01-29
  • 刊出日期:  2024-08-12

目录

    /

    返回文章
    返回