高级检索

留言板

尊敬的读者、作者、审稿人, 关于本刊的投稿、审稿、编辑和出版的任何问题, 您可以本页添加留言。我们将尽快给您答复。谢谢您的支持!

姓名
邮箱
手机号码
标题
留言内容
验证码

超高通量堆辐照生产252Cf关键因素研究

谢运利 王连杰 蔡云 夏榜样 黄学良 娄磊

谢运利, 王连杰, 蔡云, 夏榜样, 黄学良, 娄磊. 超高通量堆辐照生产252Cf关键因素研究[J]. 核动力工程, 2024, 45(5): 243-248. doi: 10.13832/j.jnpe.2024.05.0243
引用本文: 谢运利, 王连杰, 蔡云, 夏榜样, 黄学良, 娄磊. 超高通量堆辐照生产252Cf关键因素研究[J]. 核动力工程, 2024, 45(5): 243-248. doi: 10.13832/j.jnpe.2024.05.0243
Xie Yunli, Wang Lianjie, Cai Yun, Xia Bangyang, Huang Xueliang, Lou Lei. Study on Key Factors of 252Cf Production in Super High Flux Reactor[J]. Nuclear Power Engineering, 2024, 45(5): 243-248. doi: 10.13832/j.jnpe.2024.05.0243
Citation: Xie Yunli, Wang Lianjie, Cai Yun, Xia Bangyang, Huang Xueliang, Lou Lei. Study on Key Factors of 252Cf Production in Super High Flux Reactor[J]. Nuclear Power Engineering, 2024, 45(5): 243-248. doi: 10.13832/j.jnpe.2024.05.0243

超高通量堆辐照生产252Cf关键因素研究

doi: 10.13832/j.jnpe.2024.05.0243
详细信息
    作者简介:

    谢运利(1987—),男,高级工程师,现主要从事反应堆物理设计工作,E-mail: 465806835@qq.com

  • 中图分类号: TL921

Study on Key Factors of 252Cf Production in Super High Flux Reactor

  • 摘要: 252Cf核素是反应堆启动和中子活化分析等领域的重要材料,开展252Cf辐照生产方法研究意义重大。252Cf质量数大、转换链长、生产难度大,本文基于铅冷快中子超高通量研究堆重点开展252Cf辐照生产关键技术研究。根据252Cf生产方法的难点,建立高精度核数据库和靶件长寿期模拟计算方法,开展靶件结构及材料设计、中子能谱及中子注量率等关键因素研究。252Cf靶件辐照计算表明,252Cf虽然转换率低,但在辐照靶件结构、中子能谱及中子注量率方面可进行优化设计,从而提高252Cf生产效率;提出通过共振屏蔽优化中子局部能谱的方法,减少核素裂变消耗,从而提高252Cf生产效率。本文阐明252Cf生产机理和关键因素影响规律,并给出辐照生产252Cf的设计论证方向。

     

  • 图  1  堆芯布置示意图

    Figure  1.  Schematic Diagram of Core Layout

    图  2  237Np到252Cf核素的反应链

    Figure  2.  Nuclide Transmutation Chain from 237Np to 252Cf

    图  3  核素辐照靶件长寿期模拟程序计算流程图

    Figure  3.  Longtime Burnup Calculating Flow Chart of Nuclide Production Targets

    图  4  不同材料靶件252Cf产量随辐照时间的关系

    Figure  4.  252Cf Production of Different Nuclide Production Targets vs. Irradiation Time

    图  5  238U靶件主要超铀核素产量随辐照时间的关系

    Figure  5.  Main Transuranic Nuclide Production of 238U Target vs. Irradiation Time

    图  6  252Cf 产量随243Am靶件高度的变化关系

    Figure  6.  252Cf Production of 243Am Target vs. Target Height

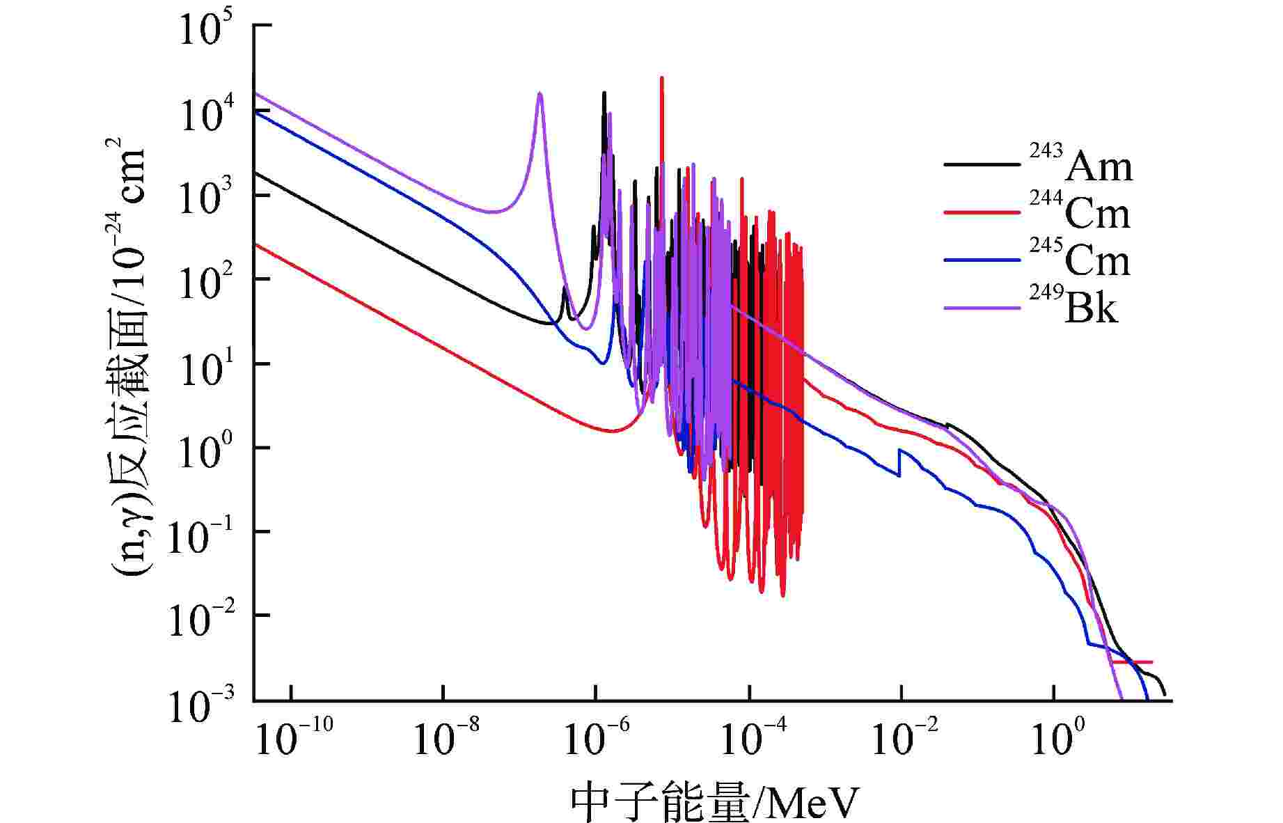
    图  7  243Am、244Cm、245Cm与249Bk的反应截面

    Figure  7.  (n,γ) Cross Sections of 243Am, 244Cm, 245Cm and 249Bk

    图  8  243Am生成252Cf过程中主要核素的总裂变俘获比

    Figure  8.  Fission per (n,γ) Capture of Main Nuclides from 243Am to 252Cf

    图  9  不同慢化能谱下252Cf产量与辐照时间的关系

    Figure  9.  252Cf Production with Different Neutron Spectrums vs. Irradiation Time

    图  10  245Cm、247Cm及251Cf的裂变俘获比

    Figure  10.  Fission per (n,γ) Capture of 245Cm, 247Cm and 251Cf

    图  11  177Hf总反应截面

    Figure  11.  Total Cross Sections of 177Hf

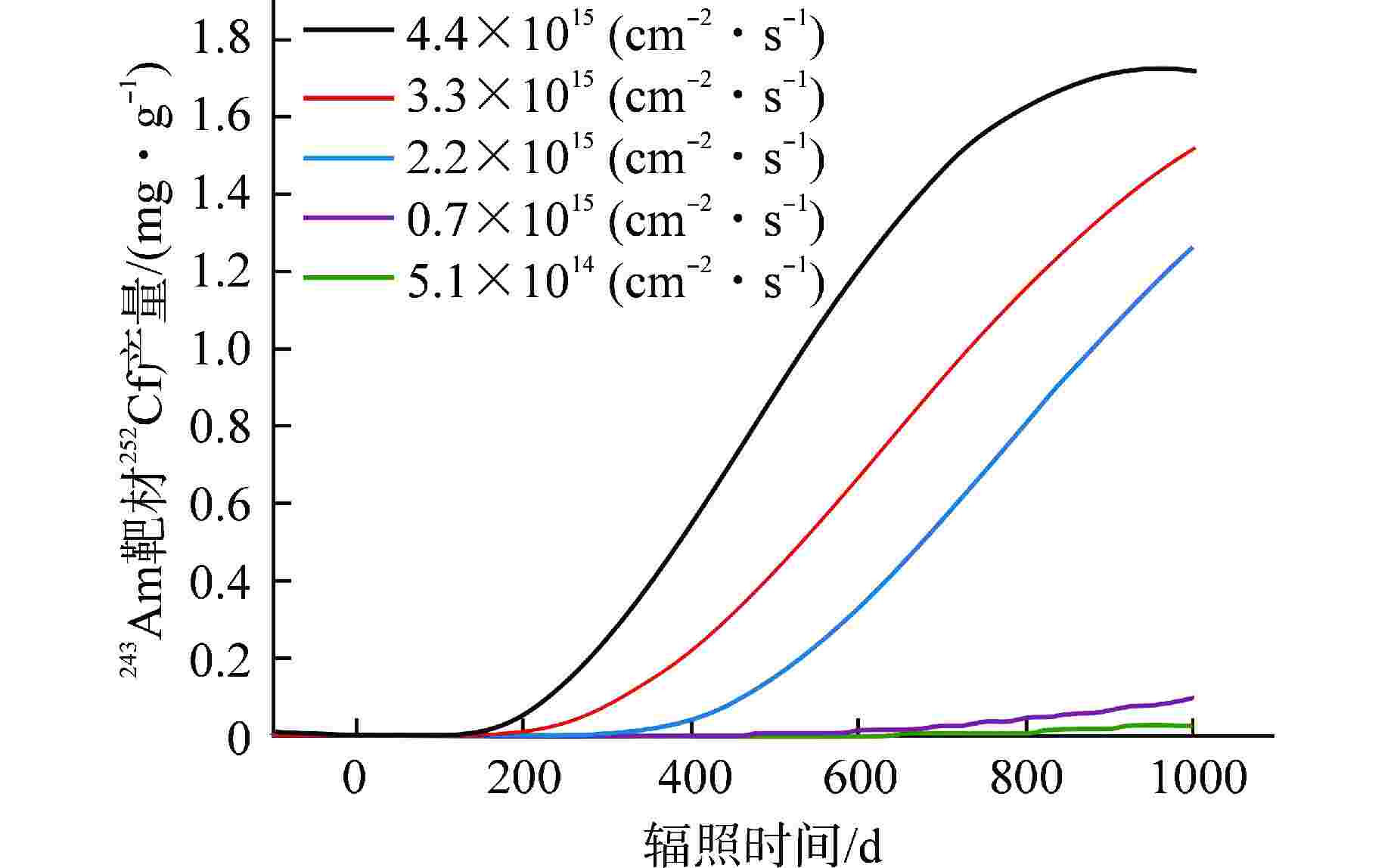
    图  12  不同中子注量率水平下243Am靶材252Cf产量

    Figure  12.  252Cf Production of 243Am Target with Different Neutron Flux

    表  1  244Cm到252Cf核素的损耗源

    Table  1.   Main Reactions of Nuclide Transmutation from 244Cm to 252Cf

    核素 损耗源
    244Cm 俘获反应:85%;裂变反应:15%
    245Cm 俘获反应:13%;裂变反应:87%
    246Cm 俘获反应:83%;裂变反应:17%
    247Cm 俘获反应:34%;裂变反应:66%
    248Cm 俘获反应:93%;裂变反应:7%
    249Cm 半衰期64 min,接近100%经β衰变成249Bk
    249Bk 半衰期330 d,1%经β衰变成249Cf,99%俘获生成250Bk
    250Bk 半衰期3.2 h,约94%经β衰变成250Cf
    249Cf 俘获反应:23%;裂变反应:77%
    250Cf 俘获反应:96%;α衰变反应和裂变反应:4%
    251Cf 俘获反应:37%;α衰变反应和裂变反应:63%
    252Cf 半衰期2.6 a,α衰变反应:3%;自发裂变反应:97%
      注:基于接近压水堆中子能谱评估结果
    下载: 导出CSV

    表  2  Cm靶件初始核素损耗比较

    Table  2.   Initial Irradiated Nuclides loss of Cm Targets

    核素 核素消耗量/g 消耗量相对变化/%
    纯Cm靶件 加入177Hf的Cm靶件
    244Cm 0.99 0.91 −8.1
    246Cm 0.35 0.34 −2.9
    248Cm 0.34 0.34 0
    下载: 导出CSV

    表  3  Cm靶件主要锕系核素产量比较

    Table  3.   Important Actinium Nuclide Production of Cm Targets

    核素 核素产量/mg 产量相对变化/%
    纯Cm靶件 加入177Hf的Cm靶件
    245Cm 47.0 50.0 6.4
    247Cm 178.1 187.8 5.4
    249Bk 27.9 30.0 7.3
    251Cf 5.0 6.9 38.4
    252Cf 93.0 92.0 −1.1
    下载: 导出CSV
  • [1] MARTIN R C, KNAUER B J, BALO P A. Production, distribution and applications of californium-252 neutron sources[J]. Applied Radiation and Isotopes, 2000, 53(4-5): 785-792. doi: 10.1016/S0969-8043(00)00214-1
    [2] 蔡云,王连杰,汪量子,等. 超高通量快中子试验堆堆芯初步概念设计[J]. 核动力工程,2023, 44(2): 222-226.
    [3] WANG K, LI Z G, SHE D, et al. RMC-A Monte Carlo code for reactor core analysis[J]. Annals of Nuclear Energy, 2015, 82: 121-129. doi: 10.1016/j.anucene.2014.08.048
    [4] PRIEST C R, HOGLE S L, EZOLD J G, et al. MCNP californium production simulations within the high flux isotope reactor[J]. Transactions of the American Nuclear Society, 2018, 119(1): 1189-1192.
  • 加载中
图(12) / 表(3)
计量
  • 文章访问数:  208
  • HTML全文浏览量:  82
  • PDF下载量:  23
  • 被引次数: 0
出版历程
  • 收稿日期:  2024-04-02
  • 修回日期:  2024-06-03
  • 刊出日期:  2024-10-14

目录

    /

    返回文章
    返回