高级检索

留言板

尊敬的读者、作者、审稿人, 关于本刊的投稿、审稿、编辑和出版的任何问题, 您可以本页添加留言。我们将尽快给您答复。谢谢您的支持!

姓名
邮箱
手机号码
标题
留言内容
验证码

冷轧变形量对Fe-11Cr-5Al-2Mo合金显微组织和力学性能的影响

王馨敏 王玉容 吴裕 潘钱付 姚力夫 徐祺

王馨敏, 王玉容, 吴裕, 潘钱付, 姚力夫, 徐祺. 冷轧变形量对Fe-11Cr-5Al-2Mo合金显微组织和力学性能的影响[J]. 核动力工程, 2024, 45(S1): 159-166. doi: 10.13832/j.jnpe.2024.S1.0159
引用本文: 王馨敏, 王玉容, 吴裕, 潘钱付, 姚力夫, 徐祺. 冷轧变形量对Fe-11Cr-5Al-2Mo合金显微组织和力学性能的影响[J]. 核动力工程, 2024, 45(S1): 159-166. doi: 10.13832/j.jnpe.2024.S1.0159
Wang Xinmin, Wang Yurong, Wu Yu, Pan Qianfu, Yao Lifu, Xu Qi. Effect of Cold-rolling Deformation on Microstructure and Mechanical Properties of Fe-11Cr-5Al-2Mo Alloy[J]. Nuclear Power Engineering, 2024, 45(S1): 159-166. doi: 10.13832/j.jnpe.2024.S1.0159
Citation: Wang Xinmin, Wang Yurong, Wu Yu, Pan Qianfu, Yao Lifu, Xu Qi. Effect of Cold-rolling Deformation on Microstructure and Mechanical Properties of Fe-11Cr-5Al-2Mo Alloy[J]. Nuclear Power Engineering, 2024, 45(S1): 159-166. doi: 10.13832/j.jnpe.2024.S1.0159

冷轧变形量对Fe-11Cr-5Al-2Mo合金显微组织和力学性能的影响

doi: 10.13832/j.jnpe.2024.S1.0159
基金项目: 国家自然科学基金青年科学基金项目(52103363)
详细信息
    作者简介:

    王馨敏(1997—),女,助理研究员,现主要从事先进金属核材料工艺研究工作,E-mail: wangxm_gz@163.com

    通讯作者:

    吴 裕,E-mail: abrahamwy@126.com

  • 中图分类号: TL341;TG142.1

Effect of Cold-rolling Deformation on Microstructure and Mechanical Properties of Fe-11Cr-5Al-2Mo Alloy

  • 摘要: 为掌握 Fe-11Cr-5Al-2Mo合金冷变形规律,并为其包壳管材研制提供基础数据和理论依据。开展了不同冷轧变形量的Fe-11Cr-5Al-2Mo合金板材轧制实验,对冷轧后的板材在800℃下进行了1 h退火,并对冷轧板材及退火板材的显微组织演变进行了表征,通过室温拉伸试验评价了Fe-11Cr-5Al-2Mo合金的强度和塑性。Fe-11Cr-5Al-2Mo合金板材的变形态组织随着冷轧变形量的增大而拉长,板材的强度随着冷轧变形量的增大而增大。800℃退火1 h后,50%冷轧变形量的板材获得了最细小、均匀的再结晶组织,并且具有良好的韧塑性配合。本文阐明了合金冷轧变形量-组织-性能之间的关系,为Fe-11Cr-5Al-2Mo合金管材冷轧变形量设计和退火工艺研究提供了参考。

     

  • 图  1  室温拉伸样品示意图   mm

    TD—板材横向;RD—板材轧向;ND—板材法向;R—圆角半径

    Figure  1.  Schematic Diagram of Tensile Sample at Room Temperature

    图  2  Fe-11Cr-5Al-2Mo合金不同冷轧变形量的晶相组织

    Figure  2.  Crystal Microstructure of Fe-11Cr-5Al-2Mo Alloy Plates under Different Cold Rolling Deformation

    图  3  不同冷轧变形量的Fe-11Cr-5Al-2Mo合金经800℃退火后的晶相组织

    Figure  3.  Crystal Microstructure of Fe-11Cr-5Al-2Mo Alloy Plates under Different Cold Rolling Deformation after Annealing at 800℃

    图  4  不同冷轧变形量下退火后Fe-11Cr-5Al-2Mo合金板材的晶粒取向图

    Figure  4.  Grain Orientation of Fe-11Cr-5Al-2Mo Alloy Plates under Different Cold Rolling Deformation after Annealing

    图  5  冷轧变形量对退火后Fe-11Cr-5Al-2Mo合金板材平均晶粒尺寸的影响

    Figure  5.  Effect of Cold Rolling Deformation on Average Grain Size of Annealed Fe-11Cr-5Al-2Mo Alloy Plates

    图  6  不同轧制变形量退火后Fe-11Cr-5Al-2Mo合金板材晶界分布

    Figure  6.  Grain Boundary Distribution of Fe-11Cr-5Al-2Mo Alloy Plates under Different Cold Rolling Deformation after Annealing

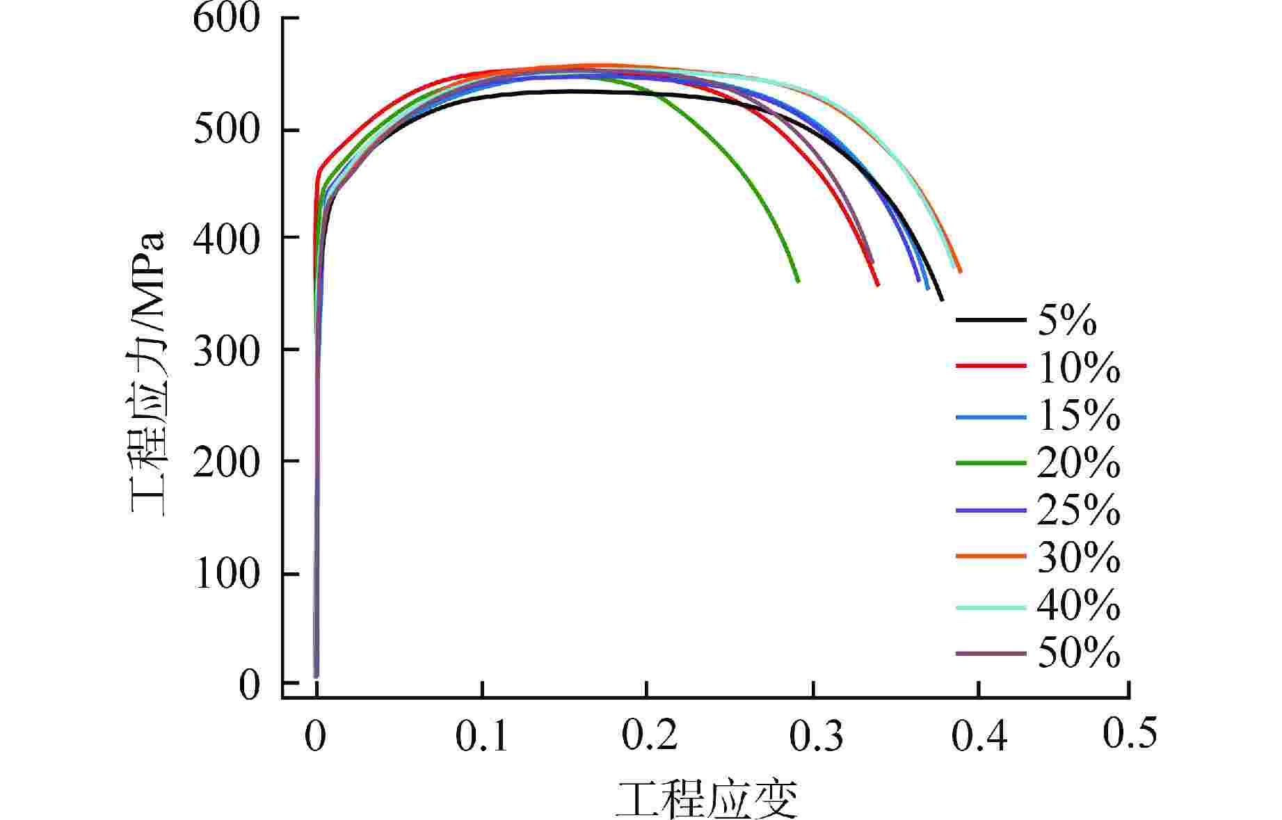
    图  7  不同冷轧变形量Fe-11Cr-5Al-2Mo合金板材的工程应力-应变曲线

    Figure  7.  Engineering Stress-strain Curves of Fe-11Cr-5Al-2Mo Alloy Plates under Different Cold Rolling Deformation

    图  8  轧态Fe-11Cr-5Al-2Mo合金板材力学性能随冷轧变形量的变化曲线

    Figure  8.  Mechanical Properties of Fe-11Cr-5Al-2Mo Alloy Plates under Different Cold Rolling Deformation

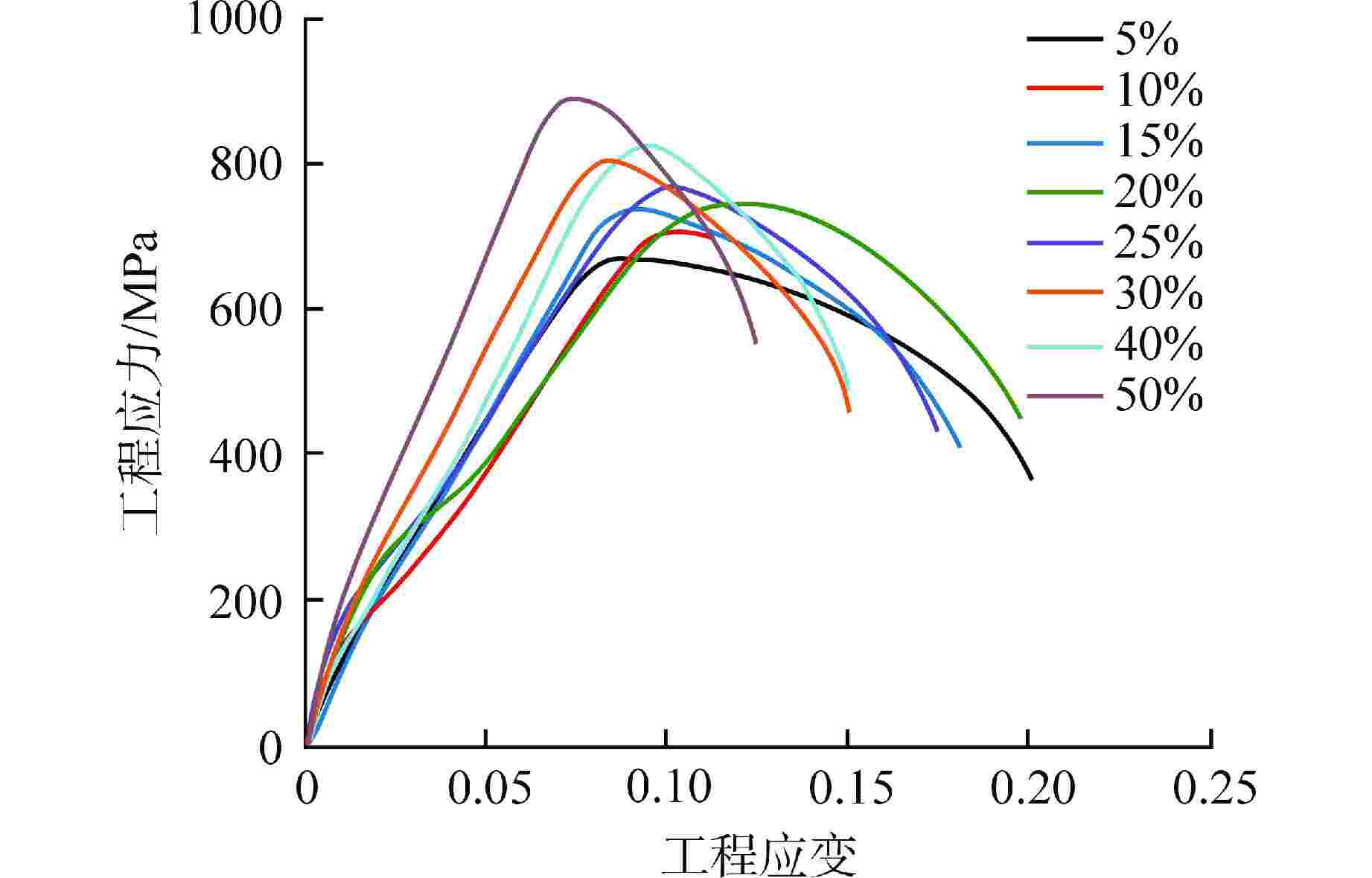
    图  9  不同冷轧变形量的退火态Fe-11Cr-5Al-2Mo合金板材的工程应力-应变曲线

    Figure  9.  Engineering Stress-strain Curves of Fe-11Cr-5Al-2Mo Alloy Plates under Different Cold Rolling Deformation after Annealing

    图  10  退火态Fe-11Cr-5Al-2Mo合金板材力学性能随冷轧变形量的变化曲线

    Figure  10.  Mechanical Properties of Fe-11Cr-5Al-2Mo Alloy Plates under Different Cold Rolling Deformation after Annealing

    表  1  Fe-11Cr-5Al-2Mo合金化学成分实测值

    Table  1.   Actual Composition of Fe-11Cr-5Al-2Mo Alloy

    元素 Cr Al Mo Si Y Fe
    质量分数/% 10.7 5.0 1.8 0.19 0.04 余量
    下载: 导出CSV
  • [1] YAMAMOTO Y. Development and quality assessments of commercial heat production of ATF FeCrAl tubes: ORNL/TM-2015/478[R]. U.S.: Oak Ridge National Laboratory (ORNL), 2015.
    [2] YAMAMOTO Y, SUN Z Q, PINT B A, et al. Optimized Gen-II FeCrAl cladding production in large quantity for campaign testing: ORNL/TM-2016/227[R]. U.S.: Oak Ridge National Laboratory (ORNL), 2016.
    [3] 梁小龙,潘钱付,王辉,等. 温轧FeCrAl钢退火组织演变对力学性能的影响[J]. 钢铁研究学报,2019, 31(11): 1012-1022.
    [4] 郑继云,王辉,曹萍,等. FeCrAl合金包壳的冷轧退火织构及力学性能[J]. 金属热处理,2019, 44(4): 175-179.
    [5] HUANG X F, WANG H, QIU S Y, et al. Cold-rolling & annealing process for nuclear grade wrought FeCrAl cladding alloy to enhance the strength and ductility[J]. Journal of Materials Processing Technology, 2020, 277: 116434. doi: 10.1016/j.jmatprotec.2019.116434
    [6] 刘胜,米振莉,唐荻,等. Fe-Cr-Al合金退火过程中组织和性能的演变[J]. 材料热处理学报,2013, 34(7): 53-57.
    [7] 武雪婷. 核燃料包壳用FeCrAl合金的制备工艺及组织性能研究[D]. 沈阳: 东北大学,2019.
  • 加载中
图(10) / 表(1)
计量
  • 文章访问数:  177
  • HTML全文浏览量:  109
  • PDF下载量:  21
  • 被引次数: 0
出版历程
  • 收稿日期:  2023-05-25
  • 修回日期:  2024-04-28
  • 刊出日期:  2024-06-15

目录

    /

    返回文章
    返回