高级检索

留言板

尊敬的读者、作者、审稿人, 关于本刊的投稿、审稿、编辑和出版的任何问题, 您可以本页添加留言。我们将尽快给您答复。谢谢您的支持!

姓名
邮箱
手机号码
标题
留言内容
验证码

基于Archard模型的反应堆控制棒驱动机构隔热套磨损分析研究

张英楠 彭航 杜华 于天达 余志伟 陈西南 吴昊 张进强

张英楠, 彭航, 杜华, 于天达, 余志伟, 陈西南, 吴昊, 张进强. 基于Archard模型的反应堆控制棒驱动机构隔热套磨损分析研究[J]. 核动力工程, 2025, 46(1): 209-215. doi: 10.13832/j.jnpe.2025.01.0209
引用本文: 张英楠, 彭航, 杜华, 于天达, 余志伟, 陈西南, 吴昊, 张进强. 基于Archard模型的反应堆控制棒驱动机构隔热套磨损分析研究[J]. 核动力工程, 2025, 46(1): 209-215. doi: 10.13832/j.jnpe.2025.01.0209
Zhang Yingnan, Peng Hang, Du Hua, Yu Tianda, Yu Zhiwei, Chen Xinan, Wu Hao, Zhang Jinqiang. Wear Analysis of Thermal Sleeve of Reactor Control Rod Drive Mechanism Based on Archard Model[J]. Nuclear Power Engineering, 2025, 46(1): 209-215. doi: 10.13832/j.jnpe.2025.01.0209
Citation: Zhang Yingnan, Peng Hang, Du Hua, Yu Tianda, Yu Zhiwei, Chen Xinan, Wu Hao, Zhang Jinqiang. Wear Analysis of Thermal Sleeve of Reactor Control Rod Drive Mechanism Based on Archard Model[J]. Nuclear Power Engineering, 2025, 46(1): 209-215. doi: 10.13832/j.jnpe.2025.01.0209

基于Archard模型的反应堆控制棒驱动机构隔热套磨损分析研究

doi: 10.13832/j.jnpe.2025.01.0209
详细信息
    作者简介:

    张英楠(1999—),男,硕士研究生,现主要从事反应堆系统与设备设计及性能分析方面的研究,E-mail: 1274292342@qq.com

    通讯作者:

    彭 航,E-mail: ph19680205@sina.com

  • 中图分类号: TL351.5

Wear Analysis of Thermal Sleeve of Reactor Control Rod Drive Mechanism Based on Archard Model

  • 摘要: 隔热套组件(简称隔热套)是核电厂反应堆控制棒驱动机构的主要部件之一,由于下端部受到喷射流体冲击,法兰与耐压壳发生接触磨损,导致承载能力和抗冲击能力下降,影响控制棒落棒功能。本文基于Archard模型,提出结构磨损特征时间和隔热套磨损微分方程,将结构磨损与运行工况参数及材料物性参数解耦,建立了适用于隔热套的静力学磨损分析模型,得到了沉降高度随结构磨损特征时间变化规律。计算结果表明,对于华龙一号机组驱动机构,其隔热套结构安全运行寿命最长时的倾角为22.6°。通过给出剩余运行寿命与沉降高度对照曲线,为核电厂运行单位提供了隔热套更换评价方法与磨损缺陷处理方案。

     

  • 图  1  隔热套受力示意图和随机碰磨形式示意图

    Figure  1.  Schematic Diagram of the Force on Thermal Sleeve and the Random Contact Wear Form

    图  2  隔热套结构与接触示意图

    R1—密封壳内径;R2—隔热套法兰外径;R—圆角半径

    Figure  2.  Structure and Contact Form of Thermal Sleeve

    图  3  隔热套磨损示意图

    Figure  3.  Schematic Diagram of Thermal Sleeve Wear

    图  4  高度损失量、沉降高度与倾角区间示意图

    Figure  4.  Schematic Diagram of Height Loss, Sedimentation Height and Inclination Angle Range

    图  5  磨损阶段示意图

    Figure  5.  Schematic Diagram of Wear Stages

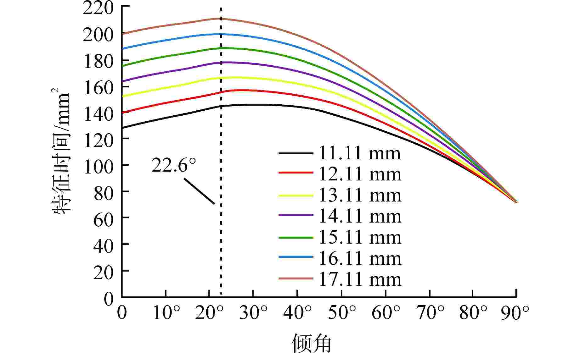
    图  6  倾角为22.6°和45.0°时磨损深度随特征时间分布

    Figure  6.  Wear Depth Distribution with Characteristic Time at Inclination Angles of 22.6° and 45.0°

    图  7  不同倾角磨损深度分布及接触面D、N、M点包络线

    Figure  7.  Wear Depth Distribution with Different Inclination Angles and Envelopes of Points D, N and M on Contact Surface

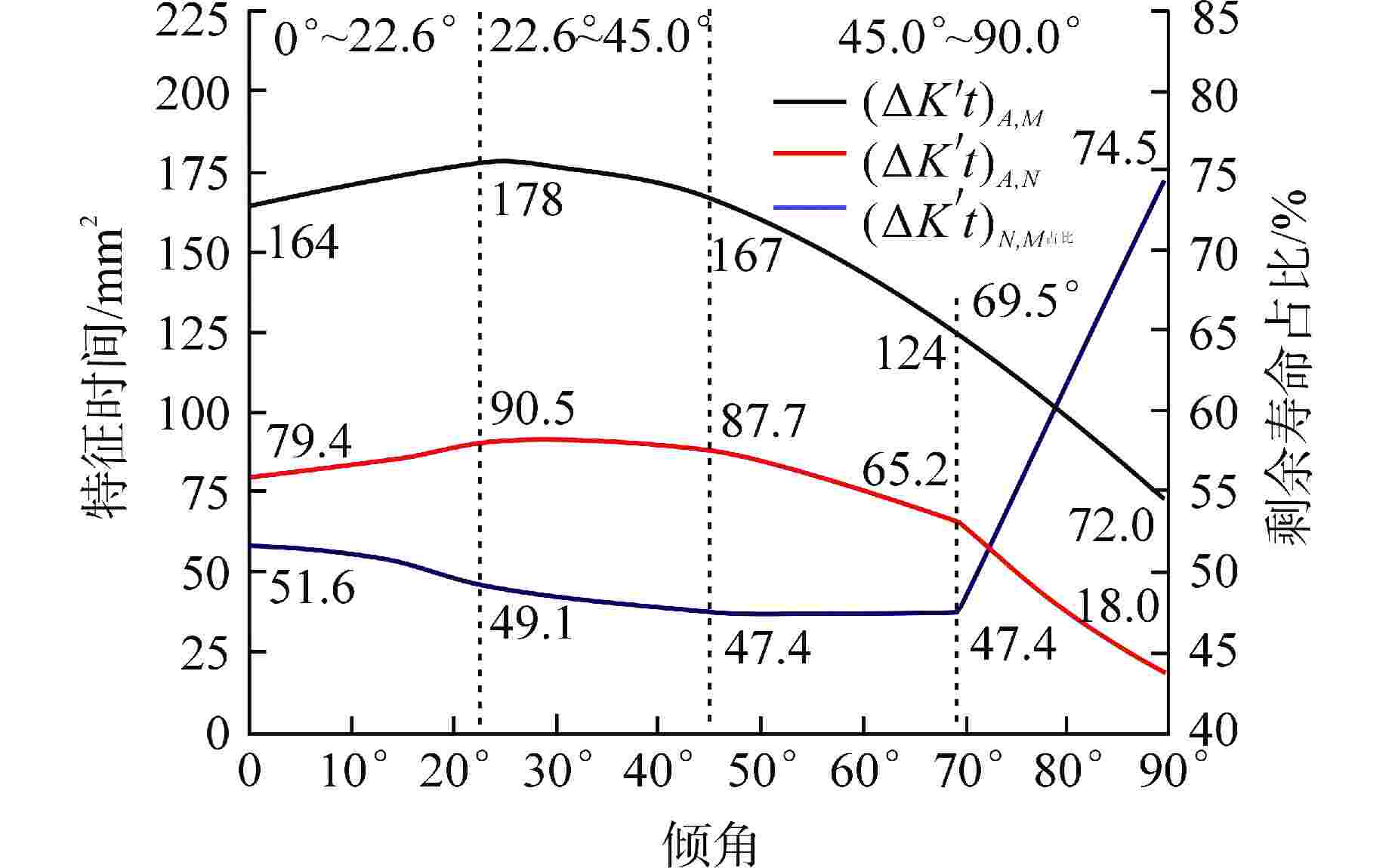
    图  8  不同倾角N<P<M磨损阶段特征时间占比

    Figure  8.  Characteristic Time Proportion of N<P<M Wear Stage with Different Inclination Angles

    图  9  不同允许高度损失量下特征时间分布

    Figure  9.  Characteristic Time Distribution with Different Allowable Height Loss

    图  10  不同倾角下剩余寿命-沉降高度对照图

    Figure  10.  Comparison of Remaining Operation Life-Sedimentation Height with Different Inclination Angles

    表  1  隔热套沉降处理方案

    Table  1.   Solution for Thermal Sleeve Sedimentation

    评价指标评价标准选用标准
    剩余寿命≥50%维持现状,定期检查
    10%~50%建议缓解,采取缓解措施
    ≤10%需要更换,采取更换措施
    下载: 导出CSV
  • [1] 核与辐射安全中心二司. 关于法国多个核电厂发生压力容器顶盖热套管磨损下沉导致控制棒卡涩的信息通告[R]. 北京: 中华人民共和国生态环境部, 2021.
    [2] Goryacheva I G. Contact Mechanics in Tribology [M]. Springer, Dordrecht, 1998, 163-324.
    [3] Williams J A .Wear modelling: analytical, computational and mapping: a continuum mechanics approach[J].Wear, 1999, s 225–229(part-P1):1-17.
    [4] Meng H C , Ludema K C .Wear models and predictive equations: their form and content[J].Wear, 1995, 181(part-P2):443-457.
    [5] Ludema K C .Mechanism-based modeling of friction and wear[J].Wear, 1996, 200(1-2):1-7.
    [6] 桂长林. Archard的磨损设计计算模型及其应用方法[J]. 润滑与密封,1990(1): 12-21.
    [7] JANAKIRAMAN V, LI S, KAHRAMAN A. An investigation of the impacts of contact parameters on wear coefficient[J]. Journal of Tribology, 2014, 136(3): 031602. doi: 10.1115/1.4027440
    [8] ARCHARD J F. Contact and rubbing of flat surfaces[J]. Journal of Applied Physics, 1953, 24(8): 981-988. doi: 10.1063/1.1721448
    [9] 温诗铸. 摩擦学原理 [M]. 清华大学出版社, 1990, 268-312.
    [10] Bayer R G , Clinton W C , Sirico J L .A note on the application of the stress dependency of wear in the wear analysis of an electrical contact[J].Wear, 1964, 7(3): 282-289.
    [11] 克拉盖尔斯基. 摩擦磨损计算原理 [M]. 机械工业出版社, 1982, 272-342.
    [12] ROWE C N. Some aspects of the heat of adsorption in the function of a boundary lubricant[J]. A S L E Transactions, 1996, 9(1): 101-111.
    [13] 章易程. 齿轮乏油传动的摩擦学研究[D]. 长沙: 中南大学,2011.
    [14] Lisowski Z, Stolarski T A. A modified theory of adhesive wear in lubricated contacts[J].Wear, 1981, 68(3):333-345.
    [15] 占旺龙. 弹性接触下的摩擦磨损数值分析与实验研究[D]. 广州: 华南理工大学,2019.
    [16] 胡波. 摩擦磨损计算及专家系统的研究与开发[D]. 广州: 华南理工大学,2018.
    [17] PARK D, KAHRAMAN A. A surface wear model for hypoid gear pairs[J]. Wear, 2009, 267(9-10): 1595-1604. doi: 10.1016/j.wear.2009.06.017
    [18] FLODIN A, ANDERSSON S. A simplified model for wear prediction in helical gears[J]. Wear, 2001, 249(3-4): 285-292. doi: 10.1016/S0043-1648(01)00556-7
    [19] OSMAN T, VELEX P. Static and dynamic simulations of mild abrasive wear in wide-faced solid spur and helical gears[J]. Mechanism and Machine Theory, 2010, 45(6): 911-924. doi: 10.1016/j.mechmachtheory.2010.01.003
    [20] 赵蕾磊. 滚珠丝杠副磨损特性分析及研磨技术研究[D]. 南京: 南京理工大学,2019.
    [21] 于洪亮. 数控机床进给系统摩擦磨损与磨损特性的研究[D]. 沈阳: 东北大学,2018.
    [22] 徐向红,汤文成,俞涛,等. 基于Archard理论的滚珠丝杠磨损预测[J]. 组合机床与自动化加工技术,2016(2): 54-59.
    [23] 姜洪奎,宋现春,李彦凤,等. 滚珠丝杠副磨损失效机理研究进展[J]. 山东建筑大学学报,2015, 30(2): 163-169. doi: 10.3969/j.issn.1673-7644.2015.02.010
  • 加载中
图(10) / 表(1)
计量
  • 文章访问数:  227
  • HTML全文浏览量:  110
  • PDF下载量:  25
  • 被引次数: 0
出版历程
  • 收稿日期:  2024-05-09
  • 修回日期:  2024-05-29
  • 刊出日期:  2025-02-15

目录

    /

    返回文章
    返回